Why Does the Higgs Boson Prefer to Decay into W Bosons Over Z Bosons?

  • Context: Undergrad 
  • Thread starter Thread starter kelly0303
  • Start date Start date
  • Tags Tags
    Confused Decay Higgs
Click For Summary
SUMMARY

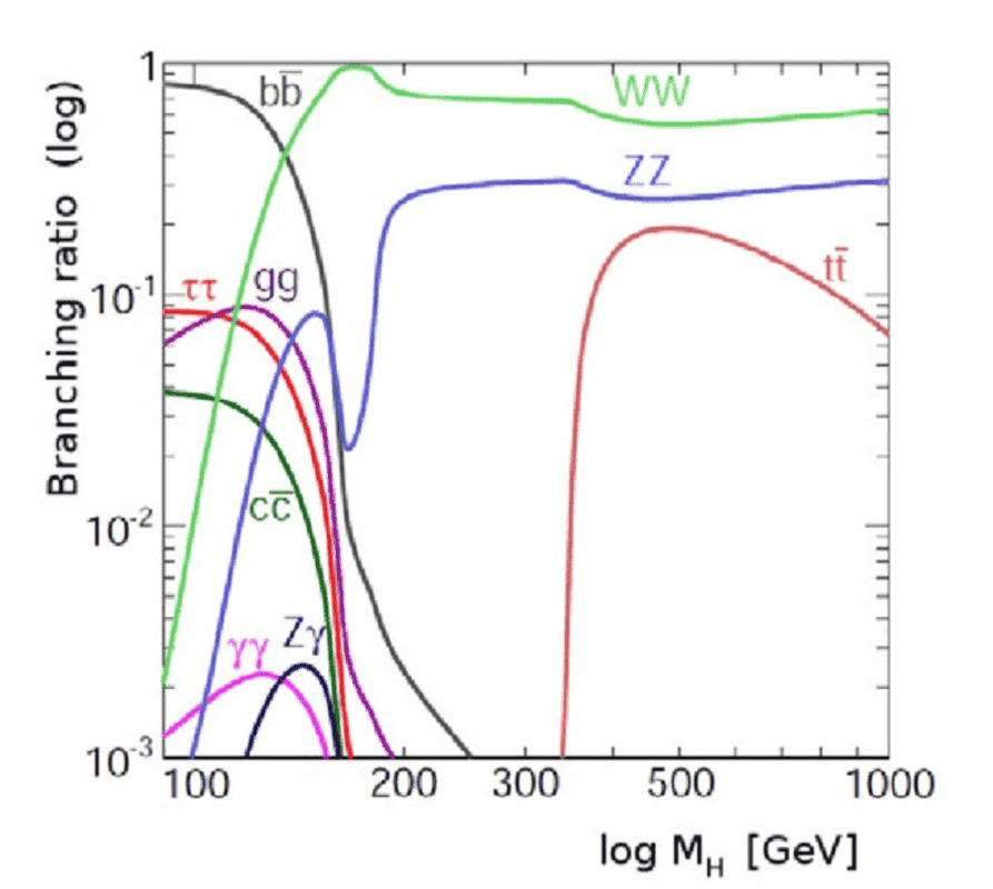
The discussion centers on the decay preferences of the Higgs boson, specifically its tendency to decay into W bosons over Z bosons. Despite the larger coupling of the Higgs to Z bosons, the branching ratio for Higgs to WW is nearly double that of Higgs to ZZ across a broad energy range. This phenomenon is attributed to phase space considerations and the mass differences between the W and Z bosons, particularly at higher Higgs masses. The Higgs cross section working group provides data indicating that the ratio of WW to ZZ approaches 2.0 at elevated Higgs masses, suggesting a fundamental counting principle may underlie this behavior.

PREREQUISITES
  • Understanding of Higgs boson decay mechanisms
  • Familiarity with Feynman diagrams and perturbation theory
  • Knowledge of Clebsch-Gordon coefficients
  • Basic concepts of particle physics, including phase space considerations
NEXT STEPS
  • Research the role of phase space in particle decay processes
  • Study Feynman diagram calculations for Higgs boson decays
  • Explore the implications of Clebsch-Gordon coefficients in particle interactions
  • Review data from the Higgs cross section working group for detailed branching ratios
USEFUL FOR

Particle physicists, researchers in high-energy physics, and students studying the properties and decay mechanisms of the Higgs boson will benefit from this discussion.

kelly0303
Messages
573
Reaction score
33
Hello! In the (famous) plot I attached we have the branches ratios for the Higgs decay for different Higgs masses. I am sure that sitting down and doing the Feynman diagram calculation (to 1 or 2 next to leading order?) I will get these curves. But I am a bit confused about the physics intuition behind the decay to W and Z. The coupling between Z and Higgs is bigger than the coupling between W and Higgs (by a factor of ##\frac{1}{(cos{\theta_w})^2}##). Yet the branching ratio for Higgs to WW is almost double that Higgs to ZZ for a wide range of energies. Of course the mass of the Z is higher so the phase space is smaller in this case, compared to W, but I wouldn't expect that a 10GeV difference to create such a big effect on the branching ratio, especially at big Higgs masses where a 10GeV difference should be almost insignificant. Is there a physical intuition as to why is this happening or it's just math and renormalization group stuff, without an actual deep physical meaning? What I mean by this is: could someone, knowing all the parameters involved, but without actually calculating the Feynman diagrams, predict that the branching ratio to W will be bigger than to Z? Thank you!
 

Attachments

  • Screen Shot 2019-11-30 at 03.17.39.png
    Screen Shot 2019-11-30 at 03.17.39.png
    97.9 KB · Views: 257
Physics news on Phys.org
At low masses (below both WW and ZZ threshold) the mass difference leads to a large difference in branching ratios. Then you get a narrow region where WW can be on-shell while ZZ has to be off-shell, that region is completely dominated by WW. Afterwards both WW and ZZ are important. The Higgs cross section working group has tables, the ratio of WW to ZZ approaches 2.0 at high Higgs mass. That makes me think it might be a simple counting thing in some way. W+W- vs. W-W+?
 
mfb said:
that makes me think it might be a simple counting thing in some way. W+W- vs. W-W+?

Yes.

One level deeper, it's the sum of the squares of Clebsch-Gordon coefficients that happen to be 1/3, 1/3 and 1/3.
 
  • Like
Likes   Reactions: mfb

Similar threads

  • · Replies 7 ·
Replies
7
Views
3K
  • · Replies 11 ·
Replies
11
Views
4K
  • · Replies 8 ·
Replies
8
Views
3K
  • · Replies 6 ·
Replies
6
Views
3K
  • · Replies 17 ·
Replies
17
Views
7K
  • · Replies 13 ·
Replies
13
Views
4K
  • · Replies 4 ·
Replies
4
Views
2K
  • · Replies 9 ·
Replies
9
Views
3K
  • · Replies 4 ·
Replies
4
Views
5K
Replies
2
Views
3K