Why Does This Equation Include Sums of h(t-ti)? Explained.

  • Context: Graduate 
  • Thread starter Thread starter paalfis
  • Start date Start date
  • Tags Tags
    Sums
Click For Summary

Discussion Overview

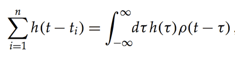
The discussion centers around the mathematical formulation involving the Dirac delta function and its implications in an equation that includes sums of the form h(t-ti). Participants are exploring the reasoning behind the use of h(t-ti) instead of h(ti) in the context of the equation presented.

Discussion Character

  • Technical explanation
  • Mathematical reasoning

Main Points Raised

  • One participant questions why the equation uses the sum over h(t-ti) rather than h(ti), suggesting that the integral could be interpreted as summing h(ti) for all ti smaller than t.
  • Another participant provides a mathematical derivation showing that the integral involving the Dirac delta function leads to a sum of h evaluated at (t-ti), indicating a transformation of variables in the integral.
  • A further inquiry is made regarding the meaning of the variable tau in the integral, specifically its relationship to t and its significance in the context of the equation.
  • A response clarifies that tau is a dummy variable, which can be replaced by any other variable, and discusses its conceptual role in the context of the integral.

Areas of Agreement / Disagreement

Participants express differing views on the interpretation of the equation and the role of the variables involved. The discussion remains unresolved regarding the preference for h(t-ti) over h(ti) and the implications of the variable tau.

Contextual Notes

Participants have not reached a consensus on the significance of the variable tau or the reasoning behind the choice of summation in the equation. The discussion reflects varying interpretations and assumptions about the mathematical formulation.

paalfis
Messages
69
Reaction score
2
Can someone explain to me why in this equation (attached)
Captura de pantalla 2014-08-24 a la(s) 23.07.45.png


where ρ(t)=[itex]\sum[/itex]δ(t-ti) , dirac funtion.
in the left side we have the sum over h(t-ti) instead of the sum over h(ti) ?

It seems to me that the integral would work summing 1*h(t1)+1*h(t2)+...+1*h(ti) for all ti smaller than t.
 
Last edited:
Physics news on Phys.org
$$\int\mathrm d\tau\, h(\tau)\rho(t-\tau) =\int\mathrm d\tau\, h(\tau)\sum_i\delta((t-\tau)-t_i) =\sum_i\int\mathrm d\tau\, h(\tau)\delta(\tau-(t-t_i)) =\sum_i h(t-t_i)$$
 
Thanks, one more question, what does tau stands for in this type of integral. i.e. What is the meaning of (t-tau)?
 
Last edited:
It's a dummy variable (i.e. it can be replaced by any other variable symbol), so it's not really significant. But since you plug it into the same functions where you plug in ##t## and ##t_i##, it can be thought of as representing the same sort of thing as those guys do. (For example, time or temperature, or whatever t stands for in this context). This is especially clear when you approximate an integral by a Riemann sum, ##\int f(x)\mathrm dx\approx\sum_i f(x_i)(x_{i+1}-x_i)##.
 

Similar threads

  • · Replies 53 ·
2
Replies
53
Views
7K
  • · Replies 6 ·
Replies
6
Views
10K
  • · Replies 2 ·
Replies
2
Views
2K
  • · Replies 8 ·
Replies
8
Views
2K
  • · Replies 3 ·
Replies
3
Views
4K
  • · Replies 3 ·
Replies
3
Views
3K
  • · Replies 23 ·
Replies
23
Views
3K
  • · Replies 1 ·
Replies
1
Views
3K
  • · Replies 1 ·
Replies
1
Views
4K
  • · Replies 4 ·
Replies
4
Views
3K