Why Is My Attenuator Resistor Value Negative?

  • Thread starter Thread starter fran1942
  • Start date Start date
  • Tags Tags
    Formulas Resistor
Click For Summary

Discussion Overview

The discussion revolves around the calculation of resistor values for an 'O' attenuator, specifically addressing the issue of obtaining a negative resistor value from the calculations. Participants explore the implications of this result in the context of impedance matching and attenuation.

Discussion Character

  • Technical explanation
  • Debate/contested

Main Points Raised

  • One participant reports calculating a negative resistor value when using specific input and load impedances along with a given attenuation factor, questioning the interpretation of this result.
  • Another participant suggests that the circuit diagram resembles a ##\Pi## attenuator rather than an O-pad and raises the issue of minimum attenuation determined by source and load impedances.
  • A later reply indicates that a negative resistor value typically implies that the desired attenuation cannot be achieved with the given impedances, suggesting that a different matching circuit may be necessary.

Areas of Agreement / Disagreement

Participants express differing views on the implications of the negative resistor value, with some suggesting it indicates a limitation in achieving the desired attenuation while others focus on the circuit configuration. The discussion remains unresolved regarding the best approach to address the negative value issue.

Contextual Notes

Limitations include potential misunderstandings of circuit configurations and the criteria for minimum attenuation based on impedance values. The discussion does not resolve the mathematical steps leading to the negative value.

fran1942
Messages
80
Reaction score
0
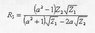
Hello, I am trying to work out the resistor values for an 'O' attenuator.
I am using the attached formula to work out resistor 3's value.
My values to insert into this formula are:

Input impedance (Z1) = 50 Ohm
Load impedance (Z2) = 600 Ohm
a =1.995

However when I substitute these figures I am getting a negative number result.
Obviously I can't have a negative Ohm resitor, so how do you interpret that ?

Thanks for any help
 

Attachments

  • form.jpg
    form.jpg
    6 KB · Views: 460
  • oatt.jpg
    oatt.jpg
    20.6 KB · Views: 459
Last edited:
Physics news on Phys.org
Your circuit diagram looks like that of a ##\Pi## attenuator, not an O-pad.

There's a minimum attenuation that is determined by the source and load impedances. Have you checked to see whether or not your "a" value meets this criterion?
 
sorry, I attached the wrong image.
This is the O-pad attachment.

What does it mean when I get a negative value from one of the resistor formula calculations (as I am in this case).
Obviously I can't have negative Ohm resistors ?
 

Attachments

  • pad.jpg
    pad.jpg
    22.7 KB · Views: 445
fran1942 said:
sorry, I attached the wrong image.
This is the O-pad attachment.

What does it mean when I get a negative value from one of the resistor formula calculations (as I am in this case).
Obviously I can't have negative Ohm resistors ?

Usually it means that you can't match the impedances while achieving the desired attenuation. There's a minimum amount of attenuation incurred when matching impedances that are not close; if your desired attenuation is less than this then some other type of matching circuit would be necessary.
 

Similar threads

  • · Replies 3 ·
Replies
3
Views
2K
Replies
15
Views
3K
  • · Replies 15 ·
Replies
15
Views
3K
  • · Replies 3 ·
Replies
3
Views
2K
  • · Replies 1 ·
Replies
1
Views
2K
Replies
3
Views
3K
  • · Replies 2 ·
Replies
2
Views
2K
  • · Replies 8 ·
Replies
8
Views
2K
  • · Replies 26 ·
Replies
26
Views
3K
  • · Replies 16 ·
Replies
16
Views
2K