Why is the use of absolute value in vector norms a matter of preference?

Click For Summary

Discussion Overview

The discussion revolves around the use of absolute value in vector norms, particularly in the context of complex numbers and their properties. Participants explore the implications of using absolute values versus norms, and the notation associated with each in mathematical expressions.

Discussion Character

  • Debate/contested
  • Technical explanation
  • Conceptual clarification

Main Points Raised

  • One participant questions why absolute value is not used for a variable in a mathematical text, suggesting it may be a matter of preference.
  • Another participant discusses the implications of signs in mathematical expressions, indicating that the sign can be incorporated into constants.
  • There is a query about the conditions under which the expression ##1+x^2## could be negative, leading to a clarification that it can only be zero at its maximum value.
  • Some participants note that when considering complex numbers, the interpretation of logarithmic functions and absolute values becomes more complex.
  • There is a distinction made between absolute values and norms, with one participant asserting that norms apply to vectors while absolute values pertain to fields.
  • Another participant emphasizes that the notation for absolute values and norms should be kept separate, especially in complex vector spaces.
  • One participant expresses disagreement with the definition of absolute value in relation to vector norms, suggesting that both notations are used interchangeably in practice.
  • There is a suggestion that the choice between using absolute values and norms is ultimately a matter of taste.

Areas of Agreement / Disagreement

Participants express differing views on the definitions and notations of absolute values and norms, with no consensus reached on the preferred terminology or its implications in mathematical contexts.

Contextual Notes

Participants assume real numbers in some instances, while acknowledging the complexities introduced by complex numbers. The discussion highlights the need for careful handling of mathematical expressions in different contexts.

mech-eng
Messages
826
Reaction score
13
I would like to ask you why the author does not use absolute value of y instead of y?

absolute value.png

Source: Mathematical Methods in the Physical Sciences by Mary L. Boas

Thank you.
 
Physics news on Phys.org
##y=\pm \exp(-\int P dx +C)=\pm A \exp(-\int P dx)=A' \exp(-\int P dx)## and the sign can be put into the value of ##A##.
 
  • Like
Likes   Reactions: mech-eng
fresh_42 said:
##y=\pm \exp(-\int P dx +C)=\pm A \exp(-\int P dx)=A' \exp(-\int P dx)## and the sign can be put into the value of ##A##.

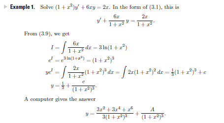
But in this example in the same source In calculating I, the integrating factor, the minus sign cannot be put into any value. Would you like to examine this?
calculation of I.png


So shouldn't it be as "3ln|1+ x^2|"

Thank you.
 
When is ##1+x^2 < 0\,##?
 
fresh_42 said:
When is ##1+x^2 < 0\,##?

Sorry for the mistake, this expression can be 0 for maximum value.

Thank you.
 
I simply assumed real numbers. Over complex numbers, things become a bit more complicated. What is ##\ln|x|##, e.g? Usually ##x## refers to a real variable and a complex would be denoted by ##z##. At least it explains the examples.
 
fresh_42 said:
I simply assumed real numbers. Over complex numbers, things become a bit more complicated. What is ##\ln|x|##, e.g? Usually ##x## refers to a real variable and a complex would be denoted by ##z##. At least it explains the examples.

But even for complex numbers, cannot be it maximum 0 because i^2=-1 ?

Thank you.
 
It could be ##1+(2i)^2=-3## but the complex numbers aren't ordered anymore, so ##"<"## only makes sense for it's real absolute values, which are usually written by double lines ##||z||##. Differentiation and integration of complex valued functions must be handled more carefully, because a lot of formulas we're used to, don't apply anymore. E.g. the exponential function in the complex number plane behaves very differently compared to the real version. Here we have ##e^{2n \pi i}=1## for all ##n \in \mathbb{N}## which doesn't have anything near over the reals.
 
fresh_42 said:
so ##"<"## only makes sense for it's real absolute values, which are usually written by double lines ##||z||##.

I have never seen double lines for the absolute value of complex numbers. That's reserved for norm.
 
  • #10
What's the difference?
 
  • #11
Norms are defined on vectors. Absolute values are defined on fields. When you have complex vector spaces, you need the notation separate because the norm will in general be different to the absolute value of vectors.

As an aside, absolute values are related to valuation theory, but as far as I'm aware of norms don't have an analogue.
 
  • #12
##|x+iy|^2=x^2+y^2## is a norm, the Euclidean norm of ##(x,y)##.
 
  • #13
fresh_42 said:
##|x+iy|^2=x^2+y^2## is a norm, the Euclidean norm of ##(x,y)##.

There is a difference between the field ##\mathbb{C}##, the one dimensional vector space of the complex numbers over itself ##\mathbb{C}^1##, which in turn is a different thing to ##\mathbb{R}^2##. They are equivalent as vector spaces, but his thread is not about complex vector spaces.
The reason why we notationally separate the two, is that there is no requirement that the vector space's norm be the Euclidean one.
 
  • #14
Yes, I know, but it's how the "absolute value" of a complex number is defined, by a vector norm. Therefore the double lines make sense here. That's all I wanted to say. Do you define ##|x+iy|## differently?
 
  • #15
fresh_42 said:
Yes, I know, but it's how the "absolute value" of a complex number is defined, by a vector norm. Therefore the double lines make sense here. That's all I wanted to say. Do you define ##|x+iy|## differently?

The part in bold is what I disagree with.
 
  • #16
A matter of taste. But as it is a vector norm you somehow contradict yourself. Anyway, I'm sure that both notations are actually used, so there's no reason to argue about it.
 

Similar threads

  • · Replies 4 ·
Replies
4
Views
2K
  • · Replies 2 ·
Replies
2
Views
2K
  • · Replies 1 ·
Replies
1
Views
2K
  • · Replies 2 ·
Replies
2
Views
2K
  • · Replies 3 ·
Replies
3
Views
2K
  • · Replies 1 ·
Replies
1
Views
2K
  • · Replies 2 ·
Replies
2
Views
1K
  • · Replies 1 ·
Replies
1
Views
2K
  • · Replies 3 ·
Replies
3
Views
5K
  • · Replies 2 ·
Replies
2
Views
14K