Why probability current = 0 at infinity? Why must wavefunction be continuous?

Click For Summary

Discussion Overview

The discussion centers on the behavior of the probability current ##j(x,t)## at infinity and the continuity of the wavefunction ##\psi## in quantum mechanics. Participants explore the implications of these concepts in relation to square-integrable functions, the nature of physical systems, and the mathematical properties of wavefunctions.

Discussion Character

  • Exploratory
  • Technical explanation
  • Conceptual clarification
  • Debate/contested

Main Points Raised

  • Some participants propose that at ##x=\pm\infty##, the wavefunction ##\psi## and its complex conjugate ##\psi^*## must approach zero, leading to a probability current of zero due to the requirements of differentiability and the properties of square-integrable functions.
  • Others argue that while square-integrable functions typically approach zero at infinity, there are exceptions that may not represent physical systems, suggesting that bounded derivatives are not universally applicable.
  • A participant suggests that functions representing physical systems can be approximated by functions that are zero beyond a certain point, implying that all derivatives are also zero in that region.
  • Another viewpoint questions the implications of a wavefunction being zero beyond a certain point, discussing the philosophical aspects of existence and probability in relation to particles and their locations.
  • Some participants highlight the need for assumptions regarding the behavior of wavefunctions beyond experimental bounds, suggesting that approximating the wavefunction as zero outside certain limits may be a practical approach.

Areas of Agreement / Disagreement

Participants express differing views on the implications of wavefunction behavior at infinity and the nature of physical systems. There is no consensus on the necessity of continuity or the specific conditions that must be met for a wavefunction to be considered valid in a physical context.

Contextual Notes

Limitations include the potential for square-integrable functions to have unbounded derivatives, and the discussion does not resolve the implications of discontinuities in the wavefunction or the probability current.

Happiness
Messages
686
Reaction score
30
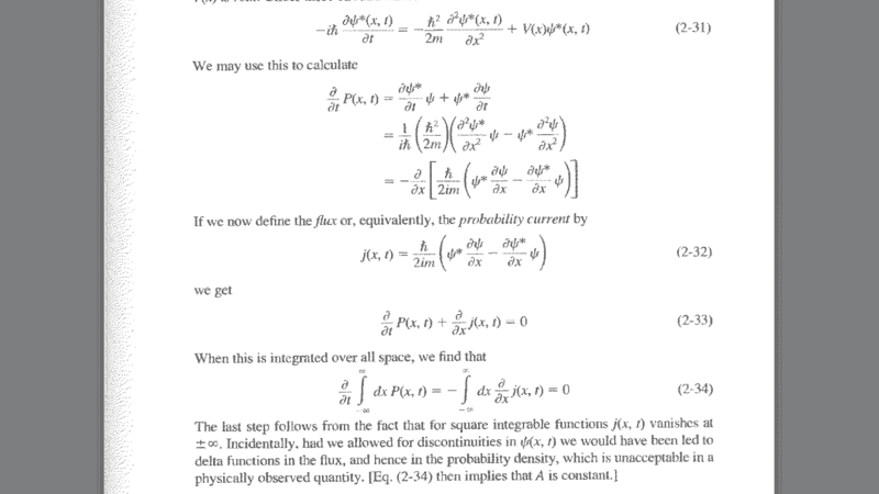
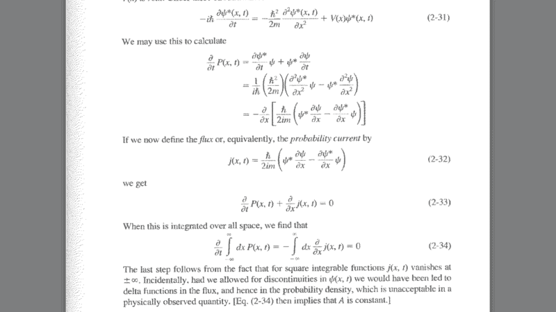
Q1. Why is the probability current ##j(x,t)=0## at ##x=\pm\infty##? (See first line of last paragraph below.)

IMG_6656.PNG


My attempt at explaining is as follows:
For square-integrable functions, at ##x=\pm\infty##, ##\psi=0## and hence ##\psi^*=0##, while ##\frac{\partial\psi}{\partial x}## and hence ##\frac{\partial\psi^*}{\partial x}## must remain finite for ##\psi## to be differentiable, a requirement for it to be a solution of the Schrödinger's equation. Hence by (2-32), ##j(x,t)=\frac{\hbar}{2im}(0-0)=0##.

But more rigorously, we should say as ##x\to\pm\infty##, ##\psi\to0## and hence ##\psi^*\to0##. Since ##\frac{\partial\psi}{\partial x}## and hence ##\frac{\partial\psi^*}{\partial x}## must remain finite for all values of ##x## and ##t##, they must be bounded from above, by say ##z_1##, and below, by say ##z_2##. Hence ##\psi^*z_1\leq\psi^*\frac{\partial\psi}{\partial x}\leq\psi^*z_2## and as ##x\to\pm\infty##, ##\psi^*\to0## and hence ##\psi^*\frac{\partial\psi}{\partial x}=0##. Hence ##j(x,t)=\frac{\hbar}{2im}(0-0)=0##.

Am I right or missing anything out?

Q2. How does discontinuity in ##\psi## lead to (Dirac) delta functions in ##j(x,t)##? (Second line of last paragraph in the photo.)

Suppose at some value of ##x## and ##t##, ##\frac{\partial\psi}{\partial x}=\pm\infty##. Then ##\frac{\partial\psi^*}{\partial x}=\pm\infty^*##. Hence ##j(x,t)=\pm\infty-\pm\infty^*##, which could be finite. Then there may not necessarily be any delta function in ##j(x,t)##. Isn't it?

Q3. How does delta functions in ##j(x,t)## lead to delta functions in ##P(x,t)##? (Third line of last paragraph in the photo.)

Suppose at some value of ##x## (say ##x_1##) and ##t## (say ##t_1##), ##j(x_1,t_1)## is the ##\pm\infty## of a delta function. Then ##\frac{\partial j}{\partial x}=\pm\infty##. By (2-33), ##\frac{\partial P}{\partial t}=\mp\infty##. But P may not necessary have delta functions. It could just be discontinous with respect to ##t##, say P jumps from 0.1 to 0.2 when ##t=t_1##. And so shouldn't we then argue that this discontinuity, and not delta functions as claimed by the text, is unacceptable instead?
 
Last edited:
Physics news on Phys.org
Happiness said:
Q1. Why is the probability current ##j(x,t)=0## at ##x=\pm\infty##? (See first line of last paragraph below.)

View attachment 204169

My attempt at explaining is as follows:
For square-integrable functions, at ##x=\pm\infty##, ##\psi=0## and hence ##\psi^*=0##, while ##\frac{\partial\psi}{\partial x}## and hence ##\frac{\partial\psi^*}{\partial x}## must remain finite for ##\psi## to be differentiable, a requirement for it to be a solution of the Schrödinger's equation. Hence by (2-32), ##j(x,t)=\frac{\hbar}{2im}(0-0)=0##.

But more rigorously, we should say as ##x\to\pm\infty##, ##\psi\to0## and hence ##\psi^*\to0##. Since ##\frac{\partial\psi}{\partial x}## and hence ##\frac{\partial\psi^*}{\partial x}## must remain finite for all values of ##x## and ##t##, they must be bounded from above, by say ##z_1##, and below, by say ##z_2##. Hence ##\psi^*z_1\leq\psi^*\frac{\partial\psi}{\partial x}\leq\psi^*z_2## and as ##x\to\pm\infty##, ##\psi^*\to0## and hence ##\psi^*\frac{\partial\psi}{\partial x}=0##. Hence ##j(x,t)=\frac{\hbar}{2im}(0-0)=0##.

Am I right or missing anything out?

In general, there are square integrable functions that do not meet these criteria, but they are considered invalid in terms of representing a physical system. In particular, a square integrable function need not have a bounded derivative. A similar example is:

https://www.physicsforums.com/threa...f-position-of-a-particle.853025/#post-5349540
 
  • Like
Likes   Reactions: Happiness
If the function represents a physical system, then it can at least be approximated by a function that is identically ##0## beyond some value of ##x##. Hence, of course, all the derivatives are identically ##0## beyond this value.

This technically excludes functions like the Gaussian, but the Gaussian can be approximated by a function that drops to ##0## at some large value of ##x##.

In all these calculations, therefore, you could assume that eventually the wave-function and all its derivatives are (effectively) identically ##0##. That might be a useful rule of thumb.
 
  • Like
Likes   Reactions: Happiness
PeroK said:
If the function represents a physical system, then it can at least be approximated by a function that is identically ##0## beyond some value of ##x##. Hence, of course, all the derivatives are identically ##0## beyond this value.

Are there some further elaborations on what it means to be physical?

A wave function that is identically zero beyond some point implies a particle with a non-zero probability of being found here (in the vicinity of ##x=0##) cannot simultaneously have a non-zero probability of being found somewhere infinitely far away. I reason this is because at a particular instant, the particle must be somewhere; it cannot be somewhere infinitely far away (being infinitely far away means it goes out of existence?). So in other words, a particle cannot have a probability (say 0.6) of being in existence and a probability (say 0.4) of being out of existence at one instant? And if we add in the time dimension, does being physical means a particle starting with probability = 1 of being in existence cannot have a (non-zero) probability of being out of existence at some future instant?

The assumption that the first derivative ##\frac{\partial\psi}{\partial x}## vanishes at ##x=\pm\infty##, is it motivated by some principle of locality? A particle (or wave) located here cannot exert an effect on particles sufficiently far away. So the momentum, energy and all physical quantities of the particle (or wave) at ##x=\pm\infty## must be zero. And since all physical quantities are calculated as some functions of ##\psi, x## and ##\frac{\partial\psi}{\partial x}##, the first derivative ##\frac{\partial\psi}{\partial x}## must vanish at ##x=\pm\infty##?
 
I'm not sure i follow much of that. For most experiments, the probability a particle is found outside the solar system is negligible. So, you may as well assume the wave function is 0 beyond that!

Normally we talk about the rate that the probability density falls off - must be exponential eventually. But I just thought that approximating it as 0 beyond the bounds of an experiment was a neat alternative.

Either way an assumption beyond square integrability is needed.
 

Similar threads

  • · Replies 15 ·
Replies
15
Views
2K
  • · Replies 3 ·
Replies
3
Views
2K
  • · Replies 17 ·
Replies
17
Views
3K
  • · Replies 1 ·
Replies
1
Views
1K
  • · Replies 24 ·
Replies
24
Views
2K
  • · Replies 11 ·
Replies
11
Views
2K
  • · Replies 1 ·
Replies
1
Views
2K
  • · Replies 5 ·
Replies
5
Views
3K
  • · Replies 1 ·
Replies
1
Views
1K
  • · Replies 1 ·
Replies
1
Views
2K