1D Shallow Water Wave in FORTRAN using LAX WENDROFF Method

Click For Summary

Discussion Overview

The discussion centers around simulating a 1D Shallow Water wave in FORTRAN using the Lax Wendroff Method, specifically focusing on the implementation of reflective boundary conditions at a wall boundary in the simulation. Participants are exploring the appropriate boundary conditions necessary to prevent the simulation from crashing when the wave reaches the wall.

Discussion Character

  • Technical explanation
  • Debate/contested

Main Points Raised

  • One participant describes their simulation setup, indicating that the wave generator is at one end of a water pool and a wall boundary is at the other end, leading to reflections of the wave.
  • The participant expresses a need for a reflective boundary condition at the wall, specifically asking for values for HNP102(1), ANP102(1), HNP1(1), and ANP1(1) at different time steps.
  • Another participant questions the clarity of the original post, noting that the variables HNP102, ANP102, HNP1, and ANP1 are not explained, and the images provided are not legible.
  • This second participant discusses the behavior of waves upon reflection, mentioning that the outcome depends on the distance between the wave source and the reflecting surface, which can lead to either constructive or destructive interference depending on the phase of the reflected wave.

Areas of Agreement / Disagreement

Participants have not reached a consensus on the appropriate reflective boundary conditions, and there are competing views regarding the explanation of wave behavior upon reflection.

Contextual Notes

The discussion lacks detailed definitions of the variables involved and does not clarify the assumptions behind the proposed boundary conditions. The images referenced are also not accessible for further context.

Aun Muhammad
Messages
14
Reaction score
0
Hey everyone,

I’m trying to simulate a 1D Shallow Water wave in FORTRAN using the Lax Wendroff Method. The case is fairly simple. I have a wave generator on one end of a water pool and a wall boundary on another. The waves start traveling towards the wall and are ‘reflected off’ the wall. The problem which I’m facing is the Boundary Condition on the wall.

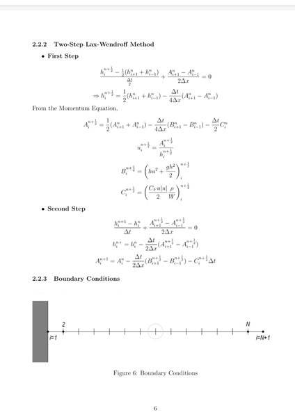
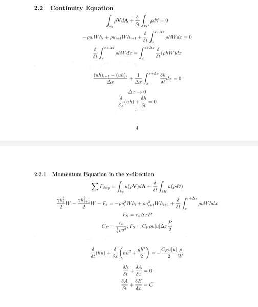
My generated wave starts traveling towards the wall and once it reaches the wall, my solution crashes. I need an appropriate ‘reflective boundary condition’ at the wall. As you guys already know, the Lax Wendroff Method employs a half time step. The governing PDE’s are attached in the image. The discretised equations are also attached.

Since h and A are the unknowns we are dealing with, I need the following BC at the wall:

HNP102(1)=? !1/2 Time Step, denotes n
ANP102(1)=? !plus half

and

HNP1(1)=? !full time step, denotes n
ANP1(1)=? !plus 1.

I read a similar code where
HNP1(1)=HNP1(2)
ANP1(1)=ANP1(2) was used but in my case it did not work.
 

Attachments

  • D2B028C8-4DF8-44DA-820C-B19CC329FA90.jpeg
    D2B028C8-4DF8-44DA-820C-B19CC329FA90.jpeg
    13.6 KB · Views: 583
  • F53685CF-7C30-41A0-9F81-6FC8812BB6CB.jpeg
    F53685CF-7C30-41A0-9F81-6FC8812BB6CB.jpeg
    13.6 KB · Views: 653
Technology news on Phys.org
What is your question?
 
The question is that what must be an appropriate 'reflective boundary condition' at the wall to simulate the reflection of the shallow water wave?
 
Aun Muhammad said:
Since h and A are the unknowns we are dealing with, I need the following BC at the wall:

HNP102(1)=? !1/2 Time Step, denotes n
ANP102(1)=? !plus half

and

HNP1(1)=? !full time step, denotes n
ANP1(1)=? !plus 1.

I read a similar code where
HNP1(1)=HNP1(2)
ANP1(1)=ANP1(2) was used but in my case it did not work.
This isn't very explanatory -- we have no idea what HNP102, ANP102, HNP1 and ANP1 are supposed to represent. In addition, the text in the two images you posted is too small to be legible, so those images aren't much help, either.

The behavior of a wave when it hits a reflecting surface depends on the number of wavelengths between the wave source and the reflecting surface. If the distance between source and reflector is an integral number of half-wavelengths, the reflecting wave will be out of phase with the following incoming wave, producing destructive wave interference. If the incoming wave hits the reflector at a high or low point, the reflection produces constructive reinforcement, resulting in a wave with twice the amplitude. It's been a long while since I've thought about this stuff, so I believe my explanation is correct.
 

Similar threads

Replies
1
Views
3K
  • · Replies 3 ·
Replies
3
Views
3K
Replies
6
Views
3K
  • · Replies 2 ·
Replies
2
Views
4K
Replies
3
Views
2K
Replies
3
Views
6K
  • · Replies 35 ·
2
Replies
35
Views
11K
  • · Replies 8 ·
Replies
8
Views
2K
  • · Replies 8 ·
Replies
8
Views
7K
  • · Replies 7 ·
Replies
7
Views
4K