3.1.6 AP calculus Exam piece wise integral

Click For Summary
SUMMARY

The discussion centers on solving a piecewise integral for the AP Calculus Exam, specifically version 3.1.6. Participants highlight the difficulty of solving such integrals purely by observation and suggest that using calculus techniques is acceptable. Additionally, it is noted that some problems can be approached using Plane Geometry, indicating that calculus may not always be necessary for certain questions.

PREREQUISITES
  • Understanding of piecewise functions
  • Familiarity with integral calculus concepts
  • Knowledge of Plane Geometry principles
  • Experience with AP Calculus Exam format
NEXT STEPS
  • Review techniques for solving piecewise integrals in calculus
  • Study the application of Plane Geometry in calculus problems
  • Practice AP Calculus Exam questions focusing on integrals
  • Explore strategies for observational problem-solving in mathematics
USEFUL FOR

Students preparing for the AP Calculus Exam, educators teaching calculus concepts, and anyone interested in improving their problem-solving skills with piecewise functions.

karush
Gold Member
MHB
Messages
3,240
Reaction score
5
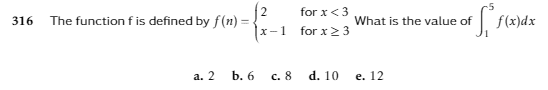
View attachment 9440

I tried to do this just by observation, but kinda hard with a piece wise function
so would presume

$\displaystyle \int_1^3 2 \, dx +\int_3^5 x-1 \, dx
= 2x\biggr|_1^3 + \left(\dfrac{x^2}{2}-x\right)\biggr|_3^5=4+6=10$

i wasn't sure about the notation of limits when you have an inequality in the function
 

Attachments

  • Capture.PNG
    Capture.PNG
    2.5 KB · Views: 172
Last edited:
Physics news on Phys.org
that’s fine
 
karush said:
I tried to do this just by observation, but kinda hard with a piece wise function
so would presume

Keep in mind that you could have solved this one by Plane Geometry; no calculus required. Is this what you meant with "by observation"?

Clearly, it's okay to use the calculus in your calculus class. Just keep it in mind. :-)
 
Last edited:

Similar threads

Replies
4
Views
2K
  • · Replies 1 ·
Replies
1
Views
2K
  • · Replies 6 ·
Replies
6
Views
2K
  • · Replies 6 ·
Replies
6
Views
2K
  • · Replies 33 ·
2
Replies
33
Views
6K
  • · Replies 1 ·
Replies
1
Views
3K
  • · Replies 4 ·
Replies
4
Views
2K
  • · Replies 1 ·
Replies
1
Views
2K
  • · Replies 1 ·
Replies
1
Views
2K
  • · Replies 6 ·
Replies
6
Views
2K