A poor man's way to Schwarzschild Geometry

Click For Summary

Homework Help Overview

The discussion revolves around a problem related to Schwarzschild geometry, specifically focusing on the stress-energy tensor and its implications in the context of general relativity. Participants are attempting to understand the relationships between various equations and the conditions of the problem, particularly in the context of empty space and the implications of certain metrics.

Discussion Character

  • Exploratory, Conceptual clarification, Mathematical reasoning, Problem interpretation, Assumption checking

Approaches and Questions Raised

  • Participants are exploring the implications of the stress-energy tensor being zero and its effect on the equations involved. There are attempts to derive expressions from given equations and to clarify the meaning of terms like ##K_{ij}## and ##\gamma_{ij}##. Questions arise about the assumptions made regarding the metrics and the interpretation of the problem statement.

Discussion Status

The discussion is active, with participants providing hints and suggestions to guide each other. Some participants have pointed out potential misunderstandings regarding the equations and their implications, while others are considering different approaches to the problem. There is a recognition that the problem may be more complex than initially perceived, and various interpretations are being explored.

Contextual Notes

Participants note that the problem statement may be misleading by only referencing certain equations, and there is an ongoing examination of the assumptions regarding the lapse and shift functions. The lack of explicit information about how variables change with respect to time is also a point of contention.

TerryW
Gold Member
Messages
234
Reaction score
22
Homework Statement
The problem is MTW Exercise 21.10 (attached)
Relevant Equations
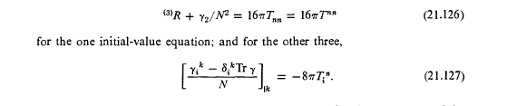
The relevant equation is the Initial Value equation 21.127 (attached)
Can anyone help me get started with this problem?

What should I use for Gni?

I've tried to produce Tni by working out Rni (using methods developed in an earlier chapter) but the results don't lead me anywhere.

I'm really stuck for a way forward on this problem so if anyone can help, it would be much appreciated.TerryW
MTW 21.20.png
Initial Value equation 21.127.png
 
Physics news on Phys.org
You should be able to write down ##T## by observation.

Hint: read the first line of the question.
 
Hi Ibix,

Thanks for coming to my assistance.

I started off by assuming that the first line of the question is telling me that ##K_{ij}= 0##. In which case,
(21.127) reduces to ##8\pi T_i{}^n =0##.

If ##T^{nn} = \rho## (which seems to be the implication of (21.132)) and ##T_i{}^n =g_{in}T^{nn}##

then I end up with ## g_{in} \rho = 0## or ##N_i\rho =0 ## if ##g_{in} = N_i## which doesn't help me very much.

I am clearly not seeing something here!Regards

TerryW
 
I think that (1) tells you that ##K_{ij}=0##, yes. But before that it says "empty space", which tells you that the stress-energy tensor is zero. So I think you are being asked to solve the left hand side of 21.127 equals zero. That presumably nets you an expression for ##\psi##.
 
The left hand side of 21.127 is ##\frac{\gamma _i{}^k - \delta _i{}^k Tr\gamma}{N}##

If ##\gamma _{ij} = \frac {1}{2}(N_{i|j} +N_{j|i} - \frac{∂g_{ij}}{∂t}) = NK_{ij} ## and ##K_{ij} = 0##

then surely the LHS = 0 doesn't it?TerryW
 
Hm.

I think I'm out of my depth here - I'll send up the bat signal.
 
  • Wow
Likes   Reactions: jedishrfu
TerryW said:
If ##\gamma _{ij} = \frac {1}{2}(N_{i|j} +N_{j|i} - \frac{∂g_{ij}}{∂t}) = NK_{ij} ##

Where are you getting the ##= N K_{ij}## part from?
 
TerryW said:
then surely the LHS = 0 doesn't it?

It is true that the LHS of equation 21.127 has to be zero, because the RHS is zero (since the stress-energy tensor is zero). But that does not mean ##\gamma_{ij} = 0## or that the solution of equation 21.127 gives no information.
 
Hi Peter,

I was on Chapter 8 when you last came to my aid!
PeterDonis said:
Where are you getting the ##= N K_{ij}## part from?

This comes straight from equation (21.67)

RegardsTerryW
 
  • #10
TerryW said:
This comes straight from equation (21.67)

Ok. But notice that equation 21.67 is also a differential equation, and saying that the LHS of 21.127 is zero (either because the RHS, the stress-energy tensor, is zero, or because ##K_{ij}## is zero) is just saying that the differential equation is homogeneous. In other words, you still have to solve the differential equation.
 
  • #11
Ok, I've processed the differentiation as follows (in detail):

##\big( \frac{\gamma_i{}^k - \delta _i{}^k Tr \gamma}{N}\big)_{|k} = 0##

##-\frac{N_{|k}}{N^2}(\gamma_i{}^k - \delta _i{}^k Tr \gamma) +-\frac{1}{N}(\gamma_i{}^k - \delta _i{}^k Tr\gamma)_{|k} = 0##

The first term disappears because ##\gamma_{ij} = 0## leaving me to process:

##(\gamma_i{}^k - \delta _i{}^k Tr\gamma)_{|k} = 0##
##(g^{jk}\gamma_{ij|k} - \delta _i{}^k g^{lm} \gamma_{lm|k} = 0##
##g^{jk}(\gamma_{ij,k} -\Gamma^l{}_{ik}\gamma _{jl}-\Gamma^l{}_{jk}\gamma _{il}) - \delta _i{}^k g^{lm} (\gamma_{lm,k}-\Gamma^p{}_{lk}\gamma _{mp}-\Gamma^p{}_{mk}\gamma_{lp}) = 0##

All the terms with ##\Gamma## disappear because ##\gamma_{ij} = 0## leaving me with:

##g^{jk}\gamma_{ij,k} - g^{lm} \gamma_{lm,i} = 0##

Given that ##\gamma_{ij} = 0## everywhere on the hypersurface, then ##\gamma_{ij,k} = 0## everywhere too, leaving me with the unarguable 0 - 0 = 0, but nowhere near the answer!RegardsTerryW
 
  • #12
TerryW said:
Given that ##\gamma_{ij} = 0## everywhere on the hypersurface, then ##\gamma_{ij,k} = 0## everywhere too

Not necessarily. The derivatives of ##\gamma_{ij}## involve the second derivatives of the lapse and shift, which are not necessarily zero on the hypersurface. The equation ##\gamma_{ij} = 0## is itself a differential equation.
 
Last edited:
  • #13
TerryW said:
nowhere near the answer!

A suggestion: the problem gives you the 3-metric. Try simply turning the crank: write down the lapse and shift functions and their derivatives, and the time derivative of the metric, which gives you an explicit formula for ##\gamma_{ij}##, then simply plug into equation 21.127 and see what you get.

The discussion at the start of section 21.10 might also be helpful. (Note that that discussion seems to indicate that you might also want to look at equation 21.126, of which equation 21.132 is a simplified form.)
 
  • #14
PeterDonis said:
The discussion at the start of section 21.10 might also be helpful. (Note that that discussion seems to indicate that you might also want to look at equation 21.126, of which equation 21.132 is a simplified form.)

On going back and reworking this problem for myself again (instead of relying on memory), I think the above observation is key. I think the problem statement is misleading in mentioning only equation 21.127 (it's possible that that was a typo and that the intent was to direct attention at both 21.126 and 21.127).
 
  • #15
Hi Peter,

Thanks for this. I'll go and have a think.

RegardsTerry W
 
  • #16
Hi Peter,

I'm still not quite getting this!

I've explored the use of the formula:

##N_{i,j} + N_{j,i} - \frac{\partial g_{ij}}{\partial t} = N^p(g_{pi,j} +g_{pj,i} -g_{ij,p} )## derived from 21.67

Using the three components of the metric ##g_{rr}##, ##g_{\theta \theta}## and ##g_{\phi \phi}##
to produce expressions for ##N_{r,r}, N_{\theta,\theta}## and ##(N_{\theta,r} + N_{r,\theta})##
from which I was able to produce a differential equation for ##\psi##, but it was not a pretty sight and ##\psi = (1 + \frac{m}{2r})## clearly isn't a solution!

I also cannot see what I could possibly get out of 21.126 given that ##\gamma_{ij}## and ##\rho = 0##

What am I missing?RegardsTerryW
 
  • #17
TerryW said:
the formula:

##N_{i,j} + N_{j,i} - \frac{\partial g_{ij}}{\partial t} = N^p(g_{pi,j} +g_{pj,i} -g_{ij,p} )## derived from 21.67

I don't see how your formula is equivalent to 21.67. Remember that ##t## in 21.67 is not a coordinate, it's a parameter. The indexes ##i, j## do not include ##t##.

Also, I believe the lapse ##N## and the shift ##N^i## can be chosen on the given hypersurface such that ##N = 1## and ##N^i = 0##. So 21.67 can be reduced to

##K_{ij} = - \frac{d g_{ij}}{dt}##

But you still need to figure out ##d g_{ij} / dt##, and there is no information given in the problem about how anything varies with ##t##. So I'm not sure this path leads anywhere, which is why I said I think the problem statement is misleading in only mentioning equation 21.127 and not 21.126.

TerryW said:
I also cannot see what I could possibly get out of 21.126

21.126 for this case says that ##R = 0##, i.e, the Ricci curvature scalar for the 3-metric on the given hypersurface is zero. That gives you a differential equation for ##\psi##.
 
Last edited:
  • #18
I have not digested much of Chapter 21. But, it appears to me that equation (21.137) might be the easiest way to show that ##\psi( r)## in Exercise 21.20 has the form ## \left (1+ \large \frac{m}{2 r}\right)## up to an overall constant factor. The discussion on page 535 that leads up to (21.137) seems very relevant to the exercise. However, equation (21.137) comes from equation (21.135), and, as far as I can tell, equation (21.135) is not derived in the text. Instead, a reference is made to the old book of Eisenhart, Riemannian Geometry.
 
  • #19
Hi Peter and TSny,

PeterDonis said:
I don't see how your formula is equivalent to 21.67. Remember that t in 21.67 is not a coordinate, it's a parameter. The indexes i,j do not include t.

All I've done here is put ##K_{ik} = 0 ## and ##\Gamma_{pik}## with ##\frac{1}{2}(g_{pi,k} + g_{pk,i} - g_{ki,p})##

PeterDonis said:
21.126 for this case says that R=0, i.e, the Ricci curvature scalar for the 3-metric on the given hypersurface is zero. That gives you a differential equation for ψ.
I think I'll go with this idea for the moment. (Using 21.137 looks more complicated!) - I can see that quite a bit of work is going to be required and I won't be around for the next few days, so it will be a while before I let you know how I've got on.

In the meantime, thanks for all the help.RegardsTerryW
 
  • #20
In equation (21.137), ##R_1 = 0## for exercise 21.20. So, you're left with solving ##\mathbf \nabla_1^2 \psi = 0##.

1593789184063.png


Use (21.136) where ##g_1## and ##g^{ik}## refer to the metric ##d \overline r^2 +\overline r^2 d\theta^2 + \overline r^2 \sin^2 \theta \, d \phi^2##.

1593789248625.png
 
Last edited:
  • #21
Ibix said:
I think I'm out of my depth here - I'll send up the bat signal.
You're still in a different intellectual league from Chief O'Hara and Commissioner Gordon!
 
  • Like
Likes   Reactions: Ibix
  • #22
TerryW said:
All I've done here is put ##K_{ik} = 0 ## and ##\Gamma_{pik}## with ##\frac{1}{2}(g_{pi,k} + g_{pk,i} - g_{ki,p})##

It is not the case that ##d g_{ik} / dt = N^p g_{ik,p}##. The contraction index ##p## cannot range over ##t##, because ##t## is not a coordinate in this formalism, and the index on ##N^p## cannot range over ##t##; ##t## is a parameter.
 
  • #23
Hi Peter and TSny

FollowingTSny's suggestion of using 21.137 and 21.136, I've produced the required result, so thanks for that!

I'm still going to try to get the result by working out R in terms of derivatives of ##\psi## just for the satisfaction of seeing it all come out.

One question arising from all this - In obtaining the result, I ended up with an expression with a ratio of arbitrary constants. I can quite legitimately resolve these into ##\frac {m}{2}##, but what is ##m##?

Given that the problem statement defined an empty space, how can ##m## be a mass and if it isn't a mass, what exactly is it?

PeterDonis said:
It is not the case that dgik/dt=Npgik,p. The contraction index p cannot range over t, because t is not a coordinate in this formalism, and the index on Np cannot range over t; t is a parameter.

Isn't it the case that t is a time parameter and that both N and N_p are functions of t and the space co-ordinates? Sure the summation can only take place over the three space co-ordinates, but if you move from one hyperplane to another, ##g_{ik}## will change and the space co-ordinates of the landing point on the later hyperplane will be different. Equations 21.36 and 21.27 and the whole introduction to ADM on pages 506 and 507 seem to point in this direction.RegardsTerryW
 
Last edited:
  • #24
TerryW said:
Isn't it the case that t is a time parameter

Yes.

TerryW said:
and that both N and N_p are functions of t and the space co-ordinates?

Yes.

TerryW said:
the summation can only take place over the three space co-ordinates

Now unpack that: what does the quantity ##N^p g_{ik,p}## expand to? It expands to:

$$
N^1 g_{ik,1} + N^2 g_{ik,2} + N^3 g_{ik,3}
$$

There is no ##t## anywhere.

TerryW said:
if you move from one hyperplane to another

That's not what you're doing in this particular case. You are evaluating the extrinsic curvature ##K_{ij}## on one particular hypersurface. Its value there includes the term ##d g_{ik} / dt##, which is simply the value of a particular function (the derivative of ##g_{ik}## with respect to ##t##) on that hypersurface.

TerryW said:
Equations 21.36 and 21.27 and the whole introduction to ADM on pages 506 and 507 seem to point in this direction.

That discussion talks about how ##N## and ##N^i## are defined. But, so defined, ##N## and ##N^i## are functions that have particular values in each hypersurface. See above for how that works for evaluating the extrinsic curvature on a particular hypersurface.
 
  • #25
Hi Peter,

TerryW said:
Ni,j+Nj,i−∂gij∂t=Np(gpi,j+gpj,i−gij,p) derived from 21.67

Looking back, I was trying to use this formula to get to an equation for ##\psi ( r )## using the ##\Gamma ## terms but it didn't get anywhere. To do this I had to (completely unjustifiably ) set ##\frac {\partial g_{ij}}{\partial t} ## = 0 so it is no surprise that it didn't work out. So with help from you and TSny, I've now reached the desired result both by 21.137 & 21.137 and by the long route of working out R from the three ##g_{ii}## values.

Thanks for helping.RegardsTerryW
 
  • Like
Likes   Reactions: TSny
  • #26
TerryW said:
I've now reached the desired result both by 21.137 & 21.137 and by the long route of working out R from the three ##g_{ii}## values.

Great, glad you were able to work it out!
 

Similar threads

  • · Replies 4 ·
Replies
4
Views
2K
  • · Replies 14 ·
Replies
14
Views
4K
  • · Replies 1 ·
Replies
1
Views
2K
Replies
1
Views
1K
  • · Replies 14 ·
Replies
14
Views
4K
  • · Replies 1 ·
Replies
1
Views
2K
  • · Replies 31 ·
2
Replies
31
Views
4K
Replies
58
Views
7K
  • · Replies 8 ·
Replies
8
Views
3K
  • · Replies 6 ·
Replies
6
Views
2K