Wan Anavan
- 2
- 1
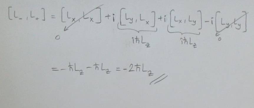
- Homework Statement
- Analysis of Angular Momentum
- Relevant Equations
- Commutators
is my solution correct?
Last edited:
The discussion revolves around the analysis of angular momentum, specifically focusing on the properties of commutators in quantum mechanics.
The discussion includes various attempts to clarify the correct formulation of commutation relations. Some participants provide guidance on how to approach the problem more carefully, while others express confusion about the original poster's solution.
There are indications of errors in the original poster's notation and calculations, as well as references to the need for more detailed steps in the analysis. The conversation also includes a light-hearted comment that deviates from the main topic.

Wan Anavan said:Homework Statement:: Analysis of Angular Momentum
Relevant Equations:: Commutators
View attachment 261736
is my solution correct?
BvU said:No. Write out L+L+ and L−L− and explicitly multiply
PeroK said:You are not being careful enough. You must write out more steps as you're going wrong with the shortcuts.
LOL. Shouldn't that be "Too wrongs doesn't make a right"?BvU said:Two wrongs doesn't make a right