Adjusting Our Units: Can Fundamental Constants Have Integer Values?

  • Context: Graduate 
  • Thread starter Thread starter Mu naught
  • Start date Start date
  • Tags Tags
    Units
Click For Summary

Discussion Overview

The discussion revolves around the possibility of adjusting SI units so that all fundamental constants of nature can take on integer values. Participants explore theoretical implications, the nature of fundamental constants, and the relationships between them.

Discussion Character

  • Exploratory
  • Debate/contested
  • Conceptual clarification
  • Mathematical reasoning

Main Points Raised

  • Some participants question whether it is feasible to redefine basic SI units to yield integer values for all fundamental constants.
  • There is a discussion about the nature of constants like h and \hbar, with some arguing that h is more fundamental as it describes properties of the universe.
  • One participant asserts that in 'natural' units, several constants can be set to 1, but this does not address the original question of all constants being integers.
  • Another participant points out that the fine structure constant is unitless and has a fixed value, suggesting that not all constants can be made integers simultaneously.
  • There is a proposal to consider how many fundamental constants could potentially be defined as integers, with a list of constants provided for consideration.
  • Participants discuss the implications of normalizing constants and the relationships between them, noting that not all can be normalized together without losing important properties.
  • Some express philosophical interest in the implications of these constants and their values.

Areas of Agreement / Disagreement

Participants generally do not agree on the feasibility of adjusting all fundamental constants to integer values, with multiple competing views and ongoing debate about the nature and relationships of these constants.

Contextual Notes

There are unresolved questions regarding the definitions of constants and their relationships, as well as the implications of experimental uncertainties on the ratios of certain constants.

Mu naught
Messages
208
Reaction score
2
Is it possible to adjust the length of the meter, the length of time of a second, the amount of mass in a gram and the other basic SI units in a way such that all the fundamental constants of nature have integer values?
 
Physics news on Phys.org
bump - was my meaning in this question clear?
 
Which of [itex]h[/itex] versus [itex]\hbar[/itex] is a fundamental constant of nature? Both of them?
 
D H said:
Which of [itex]h[/itex] versus [itex]\hbar[/itex] is a fundamental constant of nature? Both of them?

I would think [itex]h[/itex] is more fundamental. When I say fundamental I really mean constants that describe something about nature - like [itex]mu_0[/itex], [itex]/epsilon_0[/itex] - constants that are properties of the universe and determine things like the speed of light.
 
Mu naught asked for all the fundamental constants of nature to have an integral value, not a select few.

Anyhow, the answer is no. The fine structure constant, for example, is unitless. It thus has the same value regardless of selected system of units, and this value is about 1/137.035999679.
 
D H said:
Mu naught asked for all the fundamental constants of nature to have an integral value, not a select few.

Anyhow, the answer is no. The fine structure constant, for example, is unitless. It thus has the same value regardless of selected system of units, and this value is about 1/137.035999679.

That is an irrational number correct? So you're saying you could set all fundamental rational constants to integers?

Are there any examples of irrational constants which are not unitless?

I just find this interesting from a philosophical perspective. :smile:
 
A related, and maybe more reasonable, question is: how many fundamental constants could we define to be an integer--or unity, for that matter? We're basically asking how many independent physical constants are there.

Certainly we could have 5 of them as integers:
c
h
or h-bar (pick one)
G
e
or α or εo or μo (pick one)
k
As a bonus we could have both εo and μo as integers, since c2=εoμo. That makes 6 possible integer constants, though only 5 are independent.

Did I miss anything?

EDIT:
Oops, α can't be an integer.
 
Last edited:
  • #10
Mu naught said:
That is an irrational number correct? So you're saying you could set all fundamental rational constants to integers?
No, the unitless fundamental constants have fixed values. If one were a rational non-integer number, it would be a rational non-integer no matter what system of units you chose.
Mu naught said:
Are there any examples of irrational constants which are not unitless?
Well now that depends entirely on which system of units you use :wink: But generally speaking, every constant has an irrational numeric value, unless you pick a unit system specifically designed to make its value rational (and as above, this is not possible for unitless constants).
Redbelly98 said:
A related, and maybe more reasonable, question is: how many fundamental constants could we define to be an integer--or unity, for that matter? We're basically asking how many independent physical constants are there.

Certainly we could have 5 of them as integers:
c
h
or h-bar (pick one)
G
e
or α or εo or μo (pick one)
k
As a bonus we could have both εo and μo as integers, since c2=εoμo. That makes 6 possible integer constants, though only 5 are independent.

Did I miss anything?
I don't think so, unless you had some sort of weird unit system in which your units of, say, force were defined independently. Then you'd have to have a "fundamental constant" to convert between (force unit) and (length unit)(mass unit)/(time unit)^2.
 
  • #11
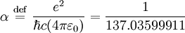
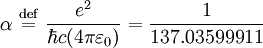
0b801451f389be0c2e0ab1f30a5163fb.png

Any three of the four constants: c, ℏ, e, or 4πε0, can be normalized (leaving the remaining physical constant to take on a value that is a simple function of α, attesting to the fundamental nature of the fine-structure constant) but not all four.

4π is a natural part of certain equations in 3 dimensions and should not be normalized out of those equations (even though it would simplify the equations it would also make them less intuitive).
 
  • #12
Mu naught said:
Is it possible to adjust the length of the meter, the length of time of a second, the amount of mass in a gram and the other basic SI units in a way such that all the fundamental constants of nature have integer values?

D H said:
Mu naught asked for all the fundamental constants of nature to have an integral value, not a select few.

Ah- I mis-read the question.

http://physics.nist.gov/cuu/Constants/Table/allascii.txt

I'm also going with 'no' on this one.
 
  • #13
Shoot, I glossed over DH's answer earlier:
D H said:
Anyhow, the answer is no. The fine structure constant, for example, is unitless. It thus has the same value regardless of selected system of units, and this value is about 1/137.035999679.

Bob S said:
Here is a list of most of the fundamental constants.

http://pdg.lbl.gov/2002/consonepagerpp.pdf

Can all of these be made integers simultaneously?

Bob S
Besides the fact that the fine structure constant is the same in any system of units, consider the masses of the proton and electron which are both on that list. Their ratio would have to be a rational number, but experimental uncertainty will always prevent us from knowing if that is so.
 
  • #14
granpa said:
0b801451f389be0c2e0ab1f30a5163fb.png

Any three of the four constants: c, ℏ, e, or 4πε0, can be normalized (leaving the remaining physical constant to take on a value that is a simple function of α, attesting to the fundamental nature of the fine-structure constant) but not all four.

And there is your problem, the constants of the universe have to play nice with each other.
 

Similar threads

Replies
8
Views
3K
Replies
7
Views
4K
  • · Replies 4 ·
Replies
4
Views
5K
  • · Replies 25 ·
Replies
25
Views
4K
  • · Replies 3 ·
Replies
3
Views
4K
  • · Replies 2 ·
Replies
2
Views
2K
  • · Replies 38 ·
2
Replies
38
Views
5K
  • · Replies 12 ·
Replies
12
Views
2K
  • · Replies 58 ·
2
Replies
58
Views
11K
  • · Replies 9 ·
Replies
9
Views
3K