Algebraic Extensions - Lovett, Example 7.2.7 .... ....

  • Context: Undergrad 
  • Thread starter Thread starter Math Amateur
  • Start date Start date
  • Tags Tags
    Example
Click For Summary

Discussion Overview

The discussion centers on Example 7.2.7 from "Abstract Algebra: Structures and Applications" by Stephen Lovett, specifically focusing on the derivation of the minimum polynomial for the element ##\alpha = \sqrt{2} + \sqrt{3}## over the field of rational numbers ##\mathbb{Q}##. Participants explore the transition from a field containing both ##\sqrt{2}## and ##\sqrt{3}## to one containing only ##\sqrt{2}##, and the implications for the factorization of the polynomial.

Discussion Character

  • Technical explanation, Conceptual clarification, Debate/contested

Main Points Raised

  • Peter seeks clarification on how Lovett derives the expression for the minimum polynomial ##m_{\alpha, \mathbb{Q}}(x)## and expresses confusion about the transition from the field containing both square roots to one containing only ##\sqrt{2}##.
  • One participant explains that the minimal polynomial can be expressed as a product of quadratics and discusses the implications of ##\sqrt{3} \notin L##, which restricts the possible factorizations to those involving ##\sqrt{2}##.
  • Another participant reiterates the irreducibility of ##m_{\alpha, \mathbb{Q}}## and clarifies the concept of a splitting field, emphasizing that irreducibility is context-dependent.
  • There is a discussion about the meaning of "decomposition" in the context of polynomial factorization, with some participants noting that it can refer to various forms of factorization, not necessarily into linear factors.

Areas of Agreement / Disagreement

Participants generally agree on the irreducibility of the minimal polynomial and the implications of the field extensions discussed. However, there remains some uncertainty regarding the terminology and concepts related to splitting fields and factorization, indicating that the discussion is not fully resolved.

Contextual Notes

Participants note that the understanding of splitting fields and decomposition may not be fully developed yet, as these concepts are addressed later in the text. There are also references to the need for further clarification on certain terms and ideas as the discussion progresses.

Math Amateur
Gold Member
MHB
Messages
3,920
Reaction score
48
I am reading "Abstract Algebra: Structures and Applications" by Stephen Lovett ...

I am currently focused on Chapter 7: Field Extensions ... ...

I need help with Example 7.2.7 ...Example 7.2.7 reads as follows:
?temp_hash=d094c6dc6c31a758354a9e0817969ade.png

?temp_hash=d094c6dc6c31a758354a9e0817969ade.png

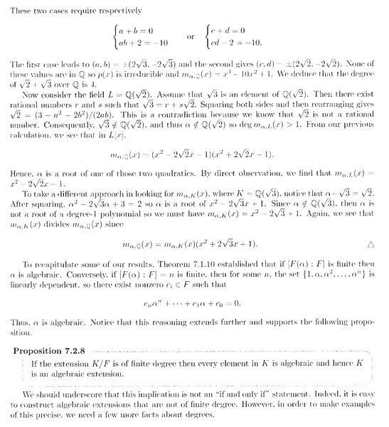
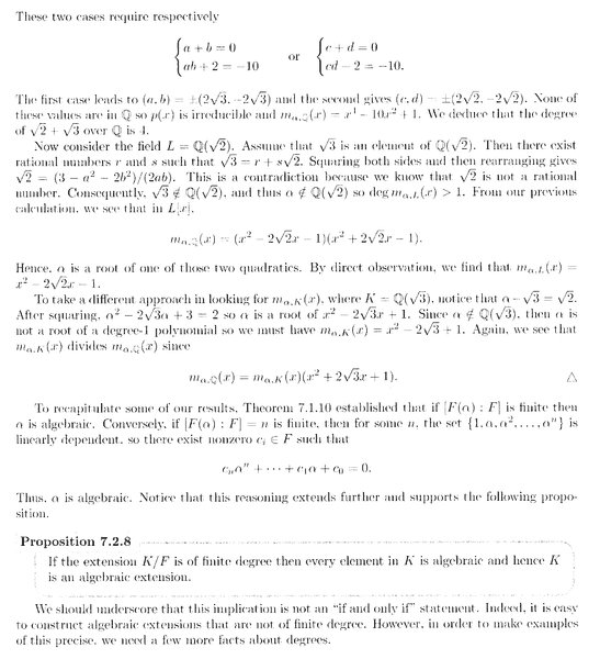
In the above example from Lovett, we read the following:

" ... ... From our previous calculation, we see that in ##L[x]##,

##m_{ \alpha , \mathbb{Q} } (x) = ( x^2 - 2 \sqrt{2} x - 1) ( x^2 + 2 \sqrt{2} x - 1)##

... ... ... "
I cannot see how this formula for the minimum polynomial in ##L[x]## is derived ...

Can someone please explain how Lovett derives the above expression for ##m_{ \alpha , \mathbb{Q} } (x) ## ... ... ?Hope someone can help ... ...

Peter

*** EDIT ***Just noted that earlier in the example we have that ##\alpha = \sqrt{2} + \sqrt{3}## is a root of

##p(x) = x^4 - 10 x^2 + 1##

which factors (in one case of two possibilities) as follows:

##p(x) = (x^2 + cx - 1) (x^2 + dx - 1)##

and this solves to ##(c,d) = \pm ( 2 \sqrt{2}, - 2 \sqrt{2} )##

... but how and why we can move from a field in which we have ##\sqrt{2}## and ##\sqrt{3}## to one in which we only have ##\sqrt{2}## ... ... I am not sure ... seems a bit slick ... ...

... indeed I certainly don't follow Lovett's next step which is to say" ... ... Hence, ##\alpha## is a root of one of those two quadratics. By direct observation, we find that

##m_{ \alpha , L } (x) = ( x^2 - 2 \sqrt{2} x - 1)## ... "Can someone please explain what is going on here ... ... in particular, why must ##\alpha## be a root of one of those two quadratics?

Peter
 

Attachments

  • Lovett - 1 -  Example 7.2.7 - PART 1   ... ....png
    Lovett - 1 - Example 7.2.7 - PART 1 ... ....png
    28.3 KB · Views: 588
  • Lovett - 2 -  Example 7.2.7 - PART 2   ... ....png
    Lovett - 2 - Example 7.2.7 - PART 2 ... ....png
    40.4 KB · Views: 584
Last edited:
Physics news on Phys.org
For the minimal polynomial of ##\alpha## over ##\mathbb{Q}## we have
$$
m_{\alpha,\mathbb{Q}}(x)=x^4-10x^2+1=p(x)=(x^2+ax+1)(x^2+bx+1) \textrm{ or } = (x^2+cx-1)(x^2+dx-1)
$$
in a potential splitting field. From this, the only solutions are ##(a,b) \in \{\pm 2\sqrt{3}\, , \,\mp 2\sqrt{3}\}## and ##(c,d) \in \{\pm 2\sqrt{2}\, , \,\mp 2\sqrt{2}\}##.

This has been shown by the calculation Lovett refers to.
Now ##\sqrt{2} \in \mathbb{Q}(\sqrt{2}) =: L## which leaves only the decomposition with ##(c,d)## as a possibility in ##L[x]##, because Lovett has shown in the lines before, that ##\sqrt{3}\notin L##, which would have allowed the ##(a,b)## solution also to be possible. He did this by showing that ##\sqrt{3}\in L = \mathbb{Q}(\sqrt{2}) \Longleftrightarrow \sqrt{3}=r+s\sqrt{2}\, , \,r,s\in \mathbb{Q}## leads to a contradiction.
(## \{1,\sqrt{2}\}## is a ##\mathbb{Q}-##basis of ##L##)

Thus ##m_{\alpha,\mathbb{Q}}(x)=x^4-10x^2+1=(x^2-2\sqrt{2}-1)(x^2+2\sqrt{2}-1)## is a valid decomposition in ##L[x]=\mathbb{Q}(\sqrt{2})[x]## and ##m_{\alpha,\mathbb{Q}}(\alpha)=0##, i.e. one of the factors has to be zero. Since ##\alpha =\sqrt{2}+\sqrt{3}## we can calculate which one and find the minimal polynomial of ##\alpha## over ##L##. (It has to be irreducible, since we already know, that ##\sqrt{3}\notin L##.)
 
  • Like
Likes   Reactions: Math Amateur
fresh_42 said:
For the minimal polynomial of ##\alpha## over ##\mathbb{Q}## we have
$$
m_{\alpha,\mathbb{Q}}(x)=x^4-10x^2+1=p(x)=(x^2+ax+1)(x^2+bx+1) \textrm{ or } = (x^2+cx-1)(x^2+dx-1)
$$
in a potential splitting field. From this, the only solutions are ##(a,b) \in \{\pm 2\sqrt{3}\, , \,\mp 2\sqrt{3}\}## and ##(c,d) \in \{\pm 2\sqrt{2}\, , \,\mp 2\sqrt{2}\}##.

This has been shown by the calculation Lovett refers to.
Now ##\sqrt{2} \in \mathbb{Q}(\sqrt{2}) =: L## which leaves only the decomposition with ##(c,d)## as a possibility in ##L[x]##, because Lovett has shown in the lines before, that ##\sqrt{3}\notin L##, which would have allowed the ##(a,b)## solution also to be possible. He did this by showing that ##\sqrt{3}\in L = \mathbb{Q}(\sqrt{2}) \Longleftrightarrow \sqrt{3}=r+s\sqrt{2}\, , \,r,s\in \mathbb{Q}## leads to a contradiction.
(## \{1,\sqrt{2}\}## is a ##\mathbb{Q}-##basis of ##L##)

Thus ##m_{\alpha,\mathbb{Q}}(x)=x^4-10x^2+1=(x^2-2\sqrt{2}-1)(x^2+2\sqrt{2}-1)## is a valid decomposition in ##L[x]=\mathbb{Q}(\sqrt{2})[x]## and ##m_{\alpha,\mathbb{Q}}(\alpha)=0##, i.e. one of the factors has to be zero. Since ##\alpha =\sqrt{2}+\sqrt{3}## we can calculate which one and find the minimal polynomial of ##\alpha## over ##L##. (It has to be irreducible, since we already know, that ##\sqrt{3}\notin L##.)
Thanks for the help, fresh_42 ... appreciate it ...

Still reflecting on your post ...

BUT ... Lovett does not get to "splitting fields" for another 30 pages or so ... so may have to wait a bit before I fully appreciate what you have written ...

I am also not sure of what you mean when you mention "decomposition" either ... but hopefully soon either Lovett or Dummit and Foote will cover the term in the context of field extensions ... ...

Thanks again,

Peter
 
Well, ##m_{\alpha , \mathbb{Q}}## is irreducible. By splitting field I meant a field extension, where it is possible to factor it. But it's sufficient here to assume a factorization. A "split" into linear factors isn't needed.

In any case it's important to keep in mind, that irreducibility depends on "where in". E.g. ##x^2+1## is irreducible over the reals, but as ##x^2+1=(x+i)(x-i)## it is not over ##\mathbb{C}##, i.e. it splits.

Decomposition simply means a factorization, usually into linear factors, but as it's not a mathematical term, I used it as synonym for factorization (here into quadratic factors). Splitting field on the other hand is a defined term. It means the field, that provides the elements (numbers) needed to split a polynomial into linear factors, to decompose it.
 
  • Like
Likes   Reactions: Math Amateur
Thanks fresh_42 ... the issues are getting clearer ...

I appreciate your considerable and significant help ..

Peter
 

Similar threads

  • · Replies 5 ·
Replies
5
Views
3K
Replies
2
Views
2K
  • · Replies 1 ·
Replies
1
Views
2K
  • · Replies 4 ·
Replies
4
Views
2K
  • · Replies 2 ·
Replies
2
Views
2K
  • · Replies 15 ·
Replies
15
Views
2K
  • · Replies 3 ·
Replies
3
Views
3K
  • · Replies 6 ·
Replies
6
Views
2K
  • · Replies 2 ·
Replies
2
Views
2K
  • · Replies 2 ·
Replies
2
Views
2K