Alternative to Arfken Regarding some Chapters

  • Context: Graduate 
  • Thread starter Thread starter abotiz
  • Start date Start date
Click For Summary

Discussion Overview

The discussion revolves around the challenges faced by a student studying "Transform theory and Analytical Functions," specifically regarding the understanding of concepts presented in the book "Arfken & Weber." Participants explore alternative resources and seek clarification on mathematical manipulations and conventions used in the text.

Discussion Character

  • Exploratory
  • Debate/contested
  • Technical explanation
  • Homework-related

Main Points Raised

  • The original poster expresses confusion about specific mathematical terms and conventions in Arfken, such as the appearance of factors like e^(2π) and (1/2π).
  • Some participants suggest that the confusion may stem from a lack of familiarity with conventions in Fourier transforms and recommend consulting previous editions of Arfken for clarity.
  • One participant emphasizes the importance of understanding the "why" behind mathematical manipulations, suggesting that experience and practice are crucial for grasping these concepts.
  • Another participant points out that the manipulation of expressions often leads to simplifications that are essential for solving problems effectively.
  • There is a discussion about the geometric series and its relevance, with some participants questioning the original poster's familiarity with it and its implications for understanding complex analysis.
  • The original poster acknowledges a time constraint due to an upcoming exam, expressing a desire for shortcuts in problem-solving.
  • Participants discuss the connection between rewriting equations and the limits involved, with one participant indicating that they had previously provided an answer to this question.

Areas of Agreement / Disagreement

Participants do not reach a consensus on the best approach to understanding the material, with some advocating for a deeper understanding of underlying principles while others emphasize the importance of familiarity with mathematical conventions and shortcuts.

Contextual Notes

There are indications of missing foundational knowledge that may be affecting the original poster's understanding, particularly regarding geometric series and other mathematical concepts that are assumed to be known at this level of study.

abotiz
Messages
72
Reaction score
0
Hi

I am reading a course in my University called " Transform theory and Analytical Functions "
The only book Recomended is Arfken & Weber. The chapters that we should read is

6.1-6.5.
7.1-7.2
15.3-15.6
15.8-15.10
5.12


I have passed the courses which you should have before reading this course, but when I try to read Arfken I get lost, for example integration, all of sudden it pops out e^2pi
or a term (1/2pi) I don't understand. Iam starting to think its something you just put in for simplicity or something.

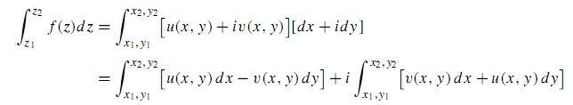
For example this one :
Untitled 1.jpg


Or this one :
Untitled 2.jpg


I don't understand A SINGLE THING, Iam going Crazy here, feels like I have missed some major things. Dont understand why/what/how they do the things...

I have a Exam in 13 days and I don't know anything. I consider myself decent in math, never had any huge problem with it.

So my question is, is there a better book out there that explains those chapters in arfken?
Perhaps a site on the internet which shows how to solve problems, and if Iam right about that you put in some terms because you have to, where can I find a complete list with those.

Thanks!
 
Physics news on Phys.org
I don't understand what is confusing about the examples you gave. The first is just multiplying out the integrand. In the second, the factor of sqrt(2pi) is just convention. Surely any reading of Fourier transforms would have mentioned that. Are you sure you've actually been paying attention to what you're reading?

Wikipedia is actually a pretty good source for mathematics; although when reading an article you'll have to take careful note of the conventions used, because they may be different than what you are used to.

Another good reference for the confusing bits of Arfken is, believe it or not, previous editions of Arfken. In the latest edition, they have tried to reduce the size of the book, and the editing was done poorly. Whole pages of auxiliary explanations and examples were simply cut out, mostly in the more esoteric parts of the complex analysis sections (such as asymptotic series, product expansions, pole expansions, and the saddle point method). In some cases, this has resulted in gaps in the line of reasoning which make the book difficult to follow.

When reading a book like Arfken, make sure you work along with it rather than just read. Things will be much clearer that way.
 
Thanks for the Quick reply!

I think my problem here is understanding why you do things.
Although I have passed a lot of courses without knowing to much " why ", It feels like I have to know " why " this time.

Refering to the first example, why do you re-write it like that?? What is the Benefit? Thats the problem with both of the questions really. There seems to be some laws/rules that applies once the function is written in a certain way.

Here is another example
Untitled 3.jpg


Following the steps is not to hard, they just rewrite it. But what's making it a problem for me is understanding when do I have to rewrite something this and that way. Like I mentioned before, feels like I have missed some major things... and I have no clue what it is and therefore no clue on what to read about.

Ps. regarding this example, I understand it like this " take what's right to 1 in "(whatever)/(1-term) and give it opposite sign, and take the power to " n ", ie (term)^n this seems to be true for many examples.

Thanks!
 
The "why" is something you have to learn by experience. Most books don't bother explaining why they choose to do one manipulation rather than some other manipulation. You have to practice and get a feel for what manipulations lead in the direction you want, and what manipulations don't. This is ultimately the "why" of it. Good foresight as to how to manipulate expressions is part of what separates good mathematicians from others.

Refering to the first example, why do you re-write it like that?? What is the Benefit? Thats the problem with both of the questions really. There seems to be some laws/rules that applies once the function is written in a certain way.

Because now all the imaginary numbers are outside the integrals, and we can apply what we know from the calculus of functions of real numbers.

In your latest example, have you never seen a geometric series before?

[tex]\sum_{k=0}^\infty r^k = \frac{1}{1-r}[/tex]

in general (whenever the series converges). If you don't understand that, try putting r=1/2, and you should be able to see why it works.
 
We haven't worked so much on geometric series, its really not much to work on, the most common series are written down in any good Math formula book and we are not expected to know it by heart.

But I do know something about how series converges.

Ofcourse, if you would give me 10000 years to study on this course I would get an A+, the problem is there is a time limit, and sometimes you have to " see/make " shortcuts in math when you solve problems, that's what I have done for a long time.

My last question would be regarding the last example I had, the difference between the serie for D_1 and D_2 differs because of the limits are not the same. Is there a quick way ( or whatever way ) on seeing/determening how the equations just after f(z) should look like when you know the limits?

Thanks!
 
We haven't worked so much on geometric series, its really not much to work on, the most common series are written down in any good Math formula book and we are not expected to know it by heart.

The geometric series is something simple and easy that you should have learned by heart a long time ago. I'm not sure how you got to complex analysis without ever becoming familiar with it. It's not enough to say, "Oh, I can just look that up in a book somewhere".

If you truly want to find shortcuts and become fast at manipulating expressions, then you have to practice and learn this kind of thing. Geometric series, binomial series, Taylor/Maclaurin series for e^x, ln(1+x), sin(x) and cos(x), trig identities, hyperbolic trig identities, law of cosines, etc. All that stuff you used to think you could just look up somewhere...if you are unable (or unwilling) to keep them in the active part of your mind, then you will miss some extraordinary shortcuts!

Arfken is trying to show you exactly one of those extraordinary shortcuts: How to calculate Laurent/Taylor series quickly and efficiently for any rational function. The method is to split the function into partial fractions, and then make each term look like a geometric series. It's much faster than explicitly calculating derivatives or integrals to get the series coefficients.

You seem to be more interested in asking "What's the trick I should use here?" instead of trying to get a better understanding. But the "trick" is to use the understanding you should have gotten from previous courses! Nothing in mathematics happens in isolation.
 
Fair enough, I will try to read on Arken and perhaps it all get more clear to me, cause right now Iam just panicked about my exam coming up soon and I have no clue on how to solve the examples.

But regarding my last question in the previous reply, is there an answer that you could give me? It feels like there are many different forms you can re-write the equation f(z) how is that connected to the limits ie D_1 and D_2 ?

Thank you
 
I already gave you an answer to that question.
 

Similar threads

  • · Replies 4 ·
Replies
4
Views
2K
  • · Replies 34 ·
2
Replies
34
Views
11K
  • · Replies 5 ·
Replies
5
Views
3K
  • · Replies 16 ·
Replies
16
Views
3K
Replies
2
Views
2K
  • · Replies 6 ·
Replies
6
Views
3K
  • · Replies 11 ·
Replies
11
Views
3K
  • · Replies 11 ·
Replies
11
Views
3K
  • · Replies 10 ·
Replies
10
Views
2K
  • · Replies 2 ·
Replies
2
Views
2K