An Example on Differentials .... Browder Proposition 8.12 ....

  • Context: MHB 
  • Thread starter Thread starter Math Amateur
  • Start date Start date
  • Tags Tags
    Differentials Example
Click For Summary
SUMMARY

This discussion centers on the application of Andrew Browder's "Mathematical Analysis: An Introduction," specifically Chapter 8 on Differentiable Maps, focusing on Proposition 8.12 and its prerequisites. The user, Peter, seeks assistance in determining the linear transformation $$L = \text{df}_p$$ and the Jacobian matrix $$f'(p)$$ for the function $$f(x,y) = (xy, x/y)$$ at the point $$p = (a, b)$$ without using partial derivatives. The responses clarify the computation of the differential and Jacobian matrix, confirming that $$\text{df}_p$$ can be expressed as $$L = (b, a), (\frac{1}{b}, -\frac{a}{b^2})$$ at the specified point.

PREREQUISITES
  • Understanding of differentiable maps as outlined in Browder's Chapter 8.
  • Familiarity with the definitions and propositions related to differentials, specifically Definitions 8.9, 8.10, and Proposition 8.11.
  • Basic knowledge of Jacobian matrices and their significance in multivariable calculus.
  • Ability to interpret mathematical notation and expressions used in analysis.
NEXT STEPS
  • Study the implications of Proposition 8.12 in relation to linear transformations in multivariable calculus.
  • Explore the derivation and applications of Jacobian matrices in various contexts.
  • Review the concepts of differentials and their practical applications in mathematical analysis.
  • Investigate further examples of differentiable maps and their properties in Browder's text.
USEFUL FOR

Students and professionals in mathematics, particularly those studying analysis, differential calculus, and anyone seeking to deepen their understanding of differentiable maps and their applications in mathematical contexts.

Math Amateur
Gold Member
MHB
Messages
3,920
Reaction score
48
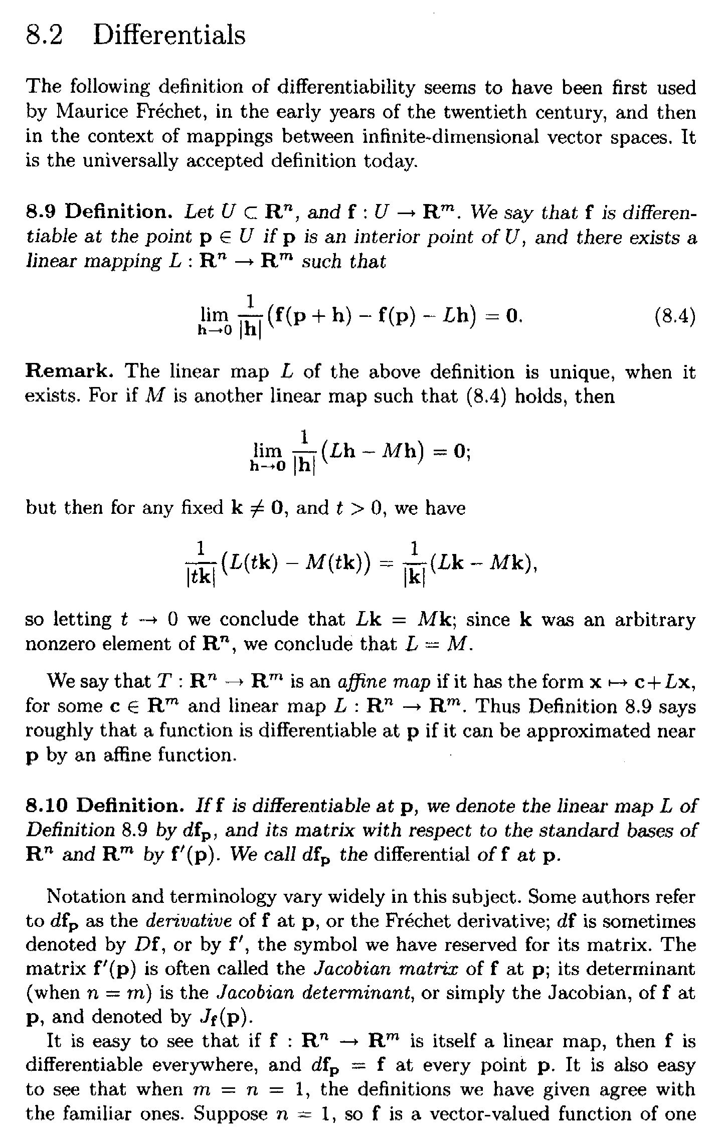
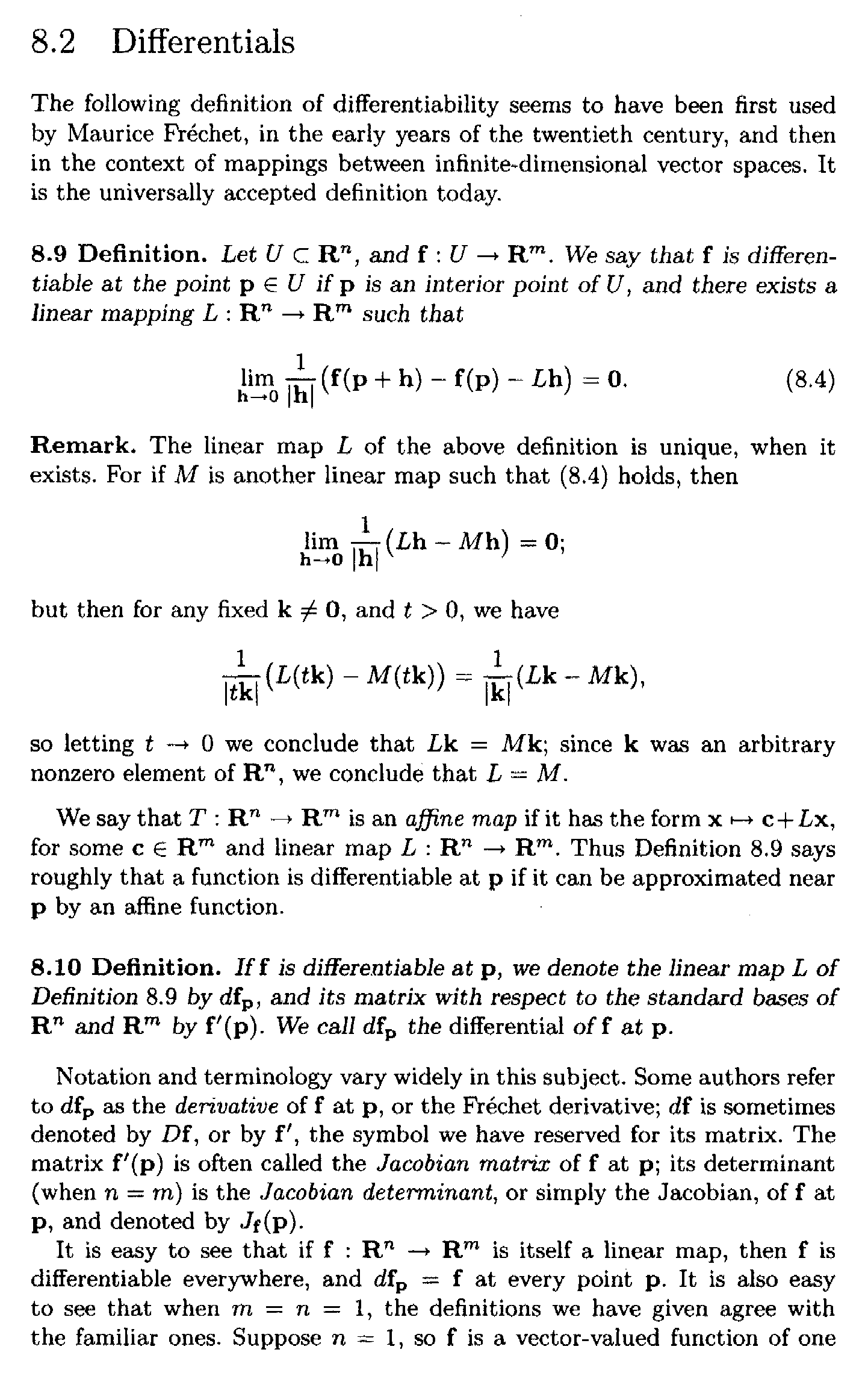
I am reading Andrew Browder's book: "Mathematical Analysis: An Introduction" ... ...

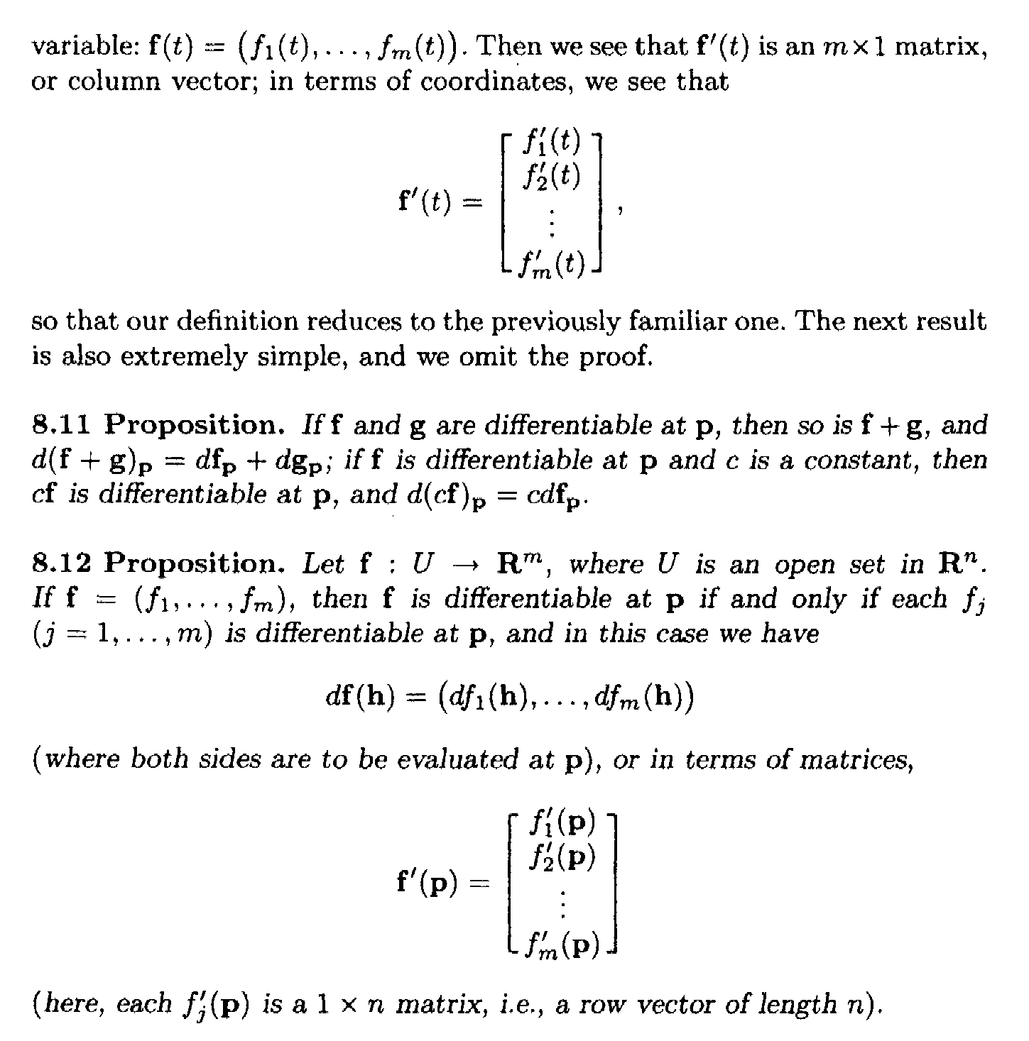
I am currently reading Chapter 8: Differentiable Maps and am specifically focused on Section 8.2 Differentials ... ...

I need some help with an example based only on Proposition 8.12 ... and the material in Section 8.2 preliminary to Proposition 8.12 (see scanned text at end of post) ... namely Definitions 8.9 and 8.10 and Proposition 8.11 ...

Proposition 8.12 reads as follows:
View attachment 9436

For Definitions 8.9 and 8.10 and Proposition 8.11 ... see scanned text below ...

Now consider the following example ...
$$f(x,y) = (xy, x/y)$$ where we have $$f_1(x, y) = xy$$ and $$f_2(x, y)= x/y
$$I wish to determine $$L = \text{df}_p$$ where $$p = (a, b)$$ using only Proposition 8.12 and the material in Section 8.2 preliminary to Proposition 8.12 (see scanned text at end of post) ... namely Definitions 8.9 and 8.10 and Proposition 8.11 ...I also wish to determine the Jacobian matrix of $$f$$ at $$p$$, namely, $$f'(p)$$ again using only Proposition 8.12 and the material in Section 8.2 preliminary to Proposition 8.12 (see scanned text at end of post) ... namely Definitions 8.9 and 8.10 and Proposition 8.11 ...I am unable to carry out the above without using partial derivatives ... which Browder has not introduced yet... indeed, it may not be possible ...

Hope someone can help ...

Peter
=======================================================================================Browder Section 8.2 (preliminary to Proposition 8.12) reads as follows:
View attachment 9437
View attachment 9438
Hope that helps ...

Peter
 

Attachments

  • Browder - Proposition 8.12 ... .png
    Browder - Proposition 8.12 ... .png
    18.2 KB · Views: 182
  • Browder - 1 - Prelim to 8.12 ... PART 1 ... .png
    Browder - 1 - Prelim to 8.12 ... PART 1 ... .png
    52.1 KB · Views: 168
  • Browder - 2 - Prelim to 8.12 ... PART 2 ... .png
    Browder - 2 - Prelim to 8.12 ... PART 2 ... .png
    23.6 KB · Views: 164
Physics news on Phys.org
That looks straight forward. You are given f(x,y)= (xy, x/y). The partial derivative of xy with respect to x is y, the partial derivative of xy with respect to x is y, the partial derivative of x/y with respect to x is 1/y, and the partial derivative of x/y with respect to y is [tex]-x/y^2[/tex]. So [tex]df= (ydx+ xdy, dx/y- xdy/y^2)[/tex].
[FONT=MathJax_Main]
The Jacobian is [tex]\begin{bmatrix}\frac{\partial f_1}{\partial x} & \frac{\partial f_1}{\partial y} \\ \frac{\partial f_2}{\partial x} & \frac{\partial f_2}{\partial y}\end{bmatrix}= \begin{bmatrix} y & x \\ \frac{1}{y} & -\frac{x}{y^2}\end{bmatrix}[/tex].
 
HallsofIvy said:
That looks straight forward. You are given f(x,y)= (xy, x/y). The partial derivative of xy with respect to x is y, the partial derivative of xy with respect to x is y, the partial derivative of x/y with respect to x is 1/y, and the partial derivative of x/y with respect to y is [tex]-x/y^2[/tex]. So [tex]df= (ydx+ xdy, dx/y- xdy/y^2)[/tex].
[FONT=MathJax_Main]
The Jacobian is [tex]\begin{bmatrix}\frac{\partial f_1}{\partial x} & \frac{\partial f_1}{\partial y} \\ \frac{\partial f_2}{\partial x} & \frac{\partial f_2}{\partial y}\end{bmatrix}= \begin{bmatrix} y & x \\ \frac{1}{y} & -\frac{x}{y^2}\end{bmatrix}[/tex].


Thanks HallsofIvy ... but ...

My questions were regarding a process or method to determine $$L = \text{df}_p$$ where $$p = (a, b)$$ using only Proposition 8.12 and the material in Section 8.2 preliminary to Proposition 8.12 (see scanned text at end of post) ... namely Definitions 8.9 and 8.10 and Proposition 8.11 ... this does not include using partial differentiation as a process

... ... and similarly I wished to know if there is a method or process to determine the Jacobian matrix of $$f$$ at $$p$$, namely, $$f'(p)$$ again using only Proposition 8.12 and the material in Section 8.2 preliminary to Proposition 8.12 (see scanned text at end of post) ... namely Definitions 8.9 and 8.10 and Proposition 8.11 ... Maybe Proposition 8.12 only states some theoretical relationships concerning $$L = \text{df}_p$$ and $$f'(p)$$ and does not concern itself with how to determine or calculate these entities ...

Nonetheless ... thank you again for your post ... it is helpful to me as although i have no trouble determining the Jacobian matrix of $$f$$ at $$p$$, namely, $$f'(p)$$ ... I do need help in determining the associated linear transformation $$L = \text{df}_p$$ where $$p = (a, b)$$ ... I'll use a mix of your notation and Browder's to attempt to determine and illustrate the linear transformation $$L = \text{df}_p$$ where $$p = (a, b)$$ ...

We have

$$f(x,y) = (xy, x/y)$$ where we have $$f_1(x, y) = xy$$ and $$f_2(x, y)= x/y
$$and we have $$\text{df}_p (h) = ( \text{df}_{ 1 (p) } (h) , \text{df}_{ 2 (p) } (h) )$$

where $$h = (h_1, h_2) = ( \text{dx}, \text{dy} )$$Now we also have$$\text{df}_{ 1 (p) } (h) = ( \frac{\partial f_1}{\partial x} , \frac{\partial f_1}{\partial y} ) \begin{pmatrix} \text{dx} \\ \text{dy} \end{pmatrix} \ |_{ p = (a, b) } $$$$\frac{\partial f_1}{\partial x} \text{dx} + \frac{\partial f_1}{\partial y} \text{dy} \ |_{ p = (a, b) } $$$$= y \text{dx} + x \text{dy} \ |_{ p = (a, b) } $$$$= y h_1 + x h_2 \ |_{ p = (a, b) } $$

$$= b h_1 + a h_2$$ ... and also $$\text{df}_{ 2 (p) } (h) = ( \frac{\partial f_2}{\partial x} , \frac{\partial f_2}{\partial y} ) \begin{pmatrix} \text{dx} \\ \text{dy} \end{pmatrix} \ |_{ p = (a, b) } $$$$= \frac{\partial f_2}{\partial x} \text{dx} + \frac{\partial f_2}{\partial y} \text{dy} \ |_{ p = (a, b) } $$$$= \frac{ \text{dx} }{ y } - \frac{ x \text{dy} }{ y^2 } \ |_{ p = (a, b) } $$ $$= \frac{ h_1 }{ y } - \frac{ x h_2 }{ y^2 } \ |_{ p = (a, b) } $$ $$= \frac{ h_1 }{ b } - \frac{ a h_2 }{ b^2 } $$
Is that correct?

Now ... and I am even more unsure here ...... if we want to determine $$L = \text{df}_p = ( \text{df}_{ 1 (p) } , \text{df}_{ 2 (p) } $$ ...then we have ...$$L = \text{df}_p = ( (y, x) , ( \frac{1}{y} , \frac{ -x}{ y^2} ) |_{ p = (a, b) } $$ $$= ( (b, a), ( \frac{1}{b} , \frac{ -a}{ b^2} )$$
Is that correct?
Hope someone can comment on and critique the above interpretation of Browder's terminology ...

Peter
 
Last edited:

Similar threads

Replies
2
Views
2K
Replies
1
Views
2K
  • · Replies 4 ·
Replies
4
Views
2K
  • · Replies 2 ·
Replies
2
Views
2K
Replies
2
Views
2K
Replies
7
Views
2K
Replies
2
Views
2K
Replies
3
Views
2K
Replies
2
Views
2K
Replies
2
Views
2K