Differentials/Total Derivatives in R^n .... Browder, Proposition 8.12 ....

  • Context: MHB 
  • Thread starter Thread starter Math Amateur
  • Start date Start date
  • Tags Tags
    Derivatives
Click For Summary
SUMMARY

This discussion focuses on proving Proposition 8.12 from Andrew Browder's "Mathematical Analysis: An Introduction," specifically regarding differentiable maps in R^n. The proposition asserts that a function f is differentiable at a point p if and only if each component function f_j is differentiable at p. Participants provide insights on using inequalities and definitions of differentiability to establish the proof rigorously. Key inequalities discussed include the relationship between the maximum of component functions and their differentiability.

PREREQUISITES
  • Understanding of differentiability in multivariable calculus
  • Familiarity with the definitions and properties of differentiable maps
  • Knowledge of inequalities related to limits and continuity
  • Proficiency in mathematical notation and proof techniques
NEXT STEPS
  • Study the definitions of differentiability in multivariable calculus
  • Learn about the implications of the Mean Value Theorem in higher dimensions
  • Explore the concept of total derivatives and their applications
  • Investigate examples of differentiable and non-differentiable functions in R^n
USEFUL FOR

Mathematics students, educators, and researchers interested in advanced calculus, particularly those studying differentiable functions and their properties in multiple dimensions.

Math Amateur
Gold Member
MHB
Messages
3,920
Reaction score
48
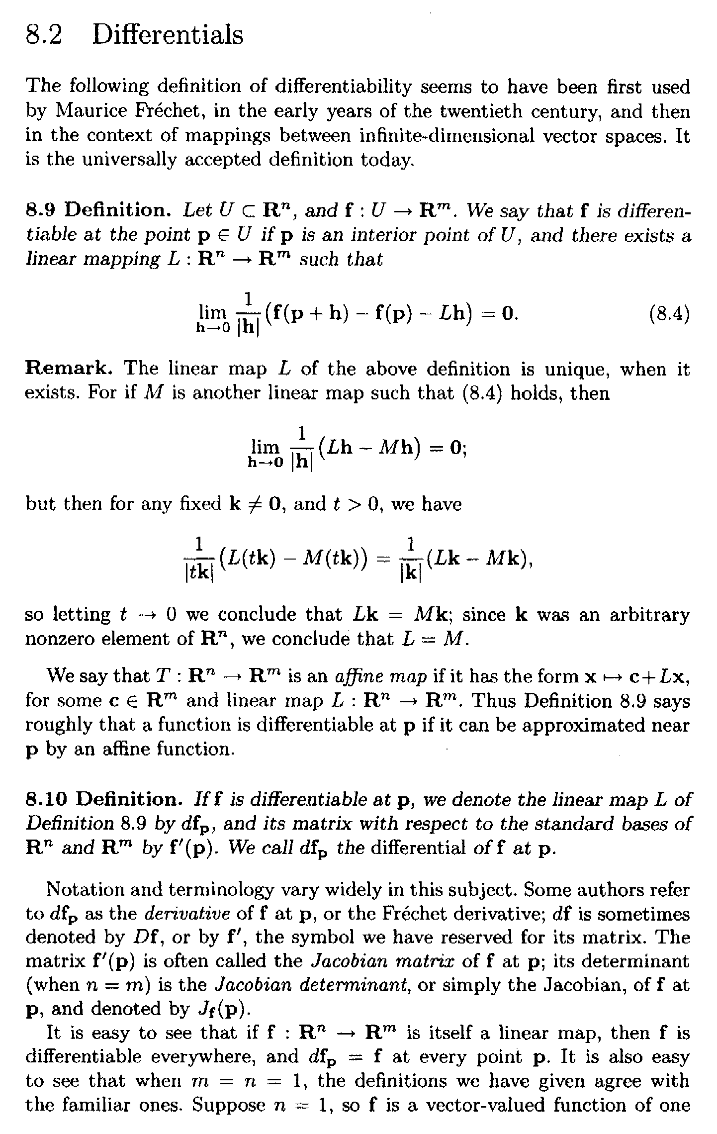
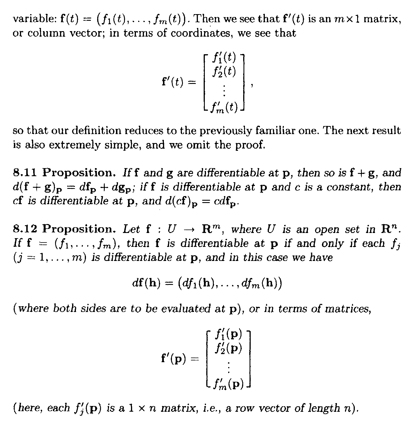
I am reading Andrew Browder's book: "Mathematical Analysis: An Introduction" ... ...

I am currently reading Chapter 8: Differentiable Maps and am specifically focused on Section 8.2 Differentials ... ...

I need some help in formulating a proof of Proposition 8.12 ...

Proposition 8.12 reads as follows:

View attachment 9428

Can someone please help me to demonstrate a formal and rigorous proof of Proposition 8.12 using on the definitions and propositions preceding the above proposition ...I am most interested in how/why we know that $$\text{df} (h) = \text{df}_1 (h), \ ... \ ... \ ... \ \text{df}_m (h) )$$... and also that ...$$f' (p) = \begin{bmatrix} f'_1 (p) \\ f'_2 (p) \\ . \\ . \\ . \\ f'_n (p) \end{bmatrix} $$... ... ... The definitions and propositions pertaining to the differential preceding the above proposition read as follows:

View attachment 9429
View attachment 9430
Hope that someone can help ...

Help will be much appreciated ...

Peter
 

Attachments

  • Browder - Proposition 8.12 ... .png
    Browder - Proposition 8.12 ... .png
    18.2 KB · Views: 169
  • Browder - 1 - Prelim to 8.12 ... PART 1 ... .png
    Browder - 1 - Prelim to 8.12 ... PART 1 ... .png
    52.1 KB · Views: 186
  • Browder - 2 - Prelim to 8.12 ... PART 2 ... .png
    Browder - 2 - Prelim to 8.12 ... PART 2 ... .png
    23.6 KB · Views: 182
Last edited:
Physics news on Phys.org
Hi Peter,

Here is a hint to hopefully help move things along.

Assuming $\bf{f}$ is differentiable at $\bf{p}$, use the inequality $0\leq \max_{1\leq j\leq m}|a_{j}|\leq |\bf{a}|$ and the definition of differentiability to establish that the $f_{j}$ are also differentiable at $\bf{p}.$

When assuming the $f_{j}$ are differentiable at $\bf{p}$, use the other inequality provided by the author to conclude that $\bf{f}$ is as well.

Let me know if anything is unclear.
 
GJA said:
Hi Peter,

Here is a hint to hopefully help move things along.

Assuming $\bf{f}$ is differentiable at $\bf{p}$, use the inequality $0\leq \max_{1\leq j\leq m}|a_{j}|\leq |\bf{a}|$ and the definition of differentiability to establish that the $f_{j}$ are also differentiable at $\bf{p}.$

When assuming the $f_{j}$ are differentiable at $\bf{p}$, use the other inequality provided by the author to conclude that $\bf{f}$ is as well.

Let me know if anything is unclear.
Thanks GJA ... appreciate your help ...

Think I have gotten the idea ... so ... will try to proceed ...
Proof of ...

... $$f$$ is differentiable at $$p \Longleftrightarrow$$ each $$f_j$$ is differentiable at $$p$$ ...Assume f is differentiable at $$p$$ ...... now ... ... $$f$$ is differentiable at $$p$$$$\Longrightarrow \lim_{ h \to 0 } \frac{1}{ |h| } ( f(p + h) - f(p) - Lh ) = 0$$


$$\Longrightarrow \lim_{ h \to 0 } \frac{ | f(p + h) - f(p) - Lh | }{ |h| } = 0$$ $$\Longrightarrow$$ for every $$\epsilon \gt 0 \ \exists \ \delta \gt 0$$ such that$$|h| \gt 0 \Longrightarrow \frac{ | f(p + h) - f(p) - Lh | }{ |h| } \lt \epsilon$$But ...$$Lh = \text{df} (h) = ( \text{df}_1 (h), \ldots , \text{df}_m (h) )$$

... and hence ...

$$| f(p + h) - f(p) - Lh | = | f(p + h) - f(p) - \text{df} (h) |$$... so ... we also have ... for $$|h| \lt \delta$$ ... since $$|a_j | \leq |a|$$ ... ...$$\frac{ | f_j(p + h) - f_j(p) - \text{df}_j (h) | }{ |h| } \leq \frac{ | f(p + h) - f(p) - Lh | }{ |h| } \leq \epsilon$$ ... therefore ... each $$f_j$$ is differentiable at $$p$$ ...

Now prove ...

... each $$f_j$$ is differentiable at $$p$$ ... \Longrightarrow ... f is differentiable at $$p$$ ...Assume ... each $$f_j$$ is differentiable at $$p$$ ...

Then ... we have ...$$\frac{ | f_j(p + h) - f_j(p) - \text{df}_j (h) | }{ |h| } \lt \epsilon/m$$ for $$|h| \lt \delta$$ for $$j = 1, \ldots, m$$Therefore ...$$\frac{ | f_1(p + h) - f_1(p) - \text{df}_1 (h) | }{ |h| } + \ldots + \frac{ | f_m(p + h) - f_m(p) - \text{df}_m (h) | }{ |h| } \lt \epsilon$$ But since ... $$|a|\leq \sum_{ j = 1 }^m |a_j|$$ ... we have $$\frac{ | f(p + h) - f(p) - \text{df} (h) | }{ |h| } \leq \frac{ | f_1(p + h) - f_1(p) - \text{df}_1 (h) | }{ |h| } + \ldots + \frac{ | f_m(p + h) - f_m(p) - \text{df}_m (h) | }{ |h| } \lt \epsilon$$ ... so ... $$f$$ is differentiable at $$p$$ ...
Can someone please confirm that the above is correct and/or point out the errors and shortcomings ...Peter
 
Last edited:

Similar threads

  • · Replies 2 ·
Replies
2
Views
2K
  • · Replies 4 ·
Replies
4
Views
2K
Replies
1
Views
2K
  • · Replies 2 ·
Replies
2
Views
2K
Replies
2
Views
2K
Replies
2
Views
2K
Replies
2
Views
2K
Replies
3
Views
2K
Replies
2
Views
2K
Replies
2
Views
2K