Differentials and Jacobians .... Remarks After Browder Prposition 8.21 ....

  • Context: MHB 
  • Thread starter Thread starter Math Amateur
  • Start date Start date
  • Tags Tags
    Differentials
Click For Summary
SUMMARY

The discussion centers on understanding the remarks made by Andrew Browder in "Mathematical Analysis: An Introduction," specifically after Proposition 8.21 regarding differentiable maps. Browder states that the matrix $$f'(p)$$ of the linear transformation $$\text{df}_p$$ can be expressed as $$f'(p) = [D_1 f(p) \ D_2 f(p) \ \ldots \ D_n f(p)]$$, where each $$D_j f$$ represents the column vector of partial derivatives. The entries of this matrix are defined as $$(f'(p))_j^i = D_j f_i(p) = \frac{\partial f_i}{\partial x_j}$$, establishing a clear relationship between the matrix representation and the partial derivatives of the components of the function.

PREREQUISITES
  • Understanding of differentiable maps in multivariable calculus
  • Familiarity with matrix representation of linear transformations
  • Knowledge of partial derivatives and their notation
  • Basic concepts of limits and continuity in calculus
NEXT STEPS
  • Study the concept of differentiability in multivariable calculus
  • Learn about the Jacobian matrix and its applications in transformations
  • Explore examples of linear transformations in the context of differentiable maps
  • Investigate the implications of Browder's Proposition 8.21 in higher-dimensional analysis
USEFUL FOR

Students and professionals in mathematics, particularly those studying analysis, differential geometry, or multivariable calculus, will benefit from this discussion. It is especially relevant for those seeking to deepen their understanding of differentiable functions and their properties.

Math Amateur
Gold Member
MHB
Messages
3,920
Reaction score
48
I am reading Andrew Browder's book: "Mathematical Analysis: An Introduction" ... ...

I am currently reading Chapter 8: Differentiable Maps and am specifically focused on Section 8.2 Differentials ... ...

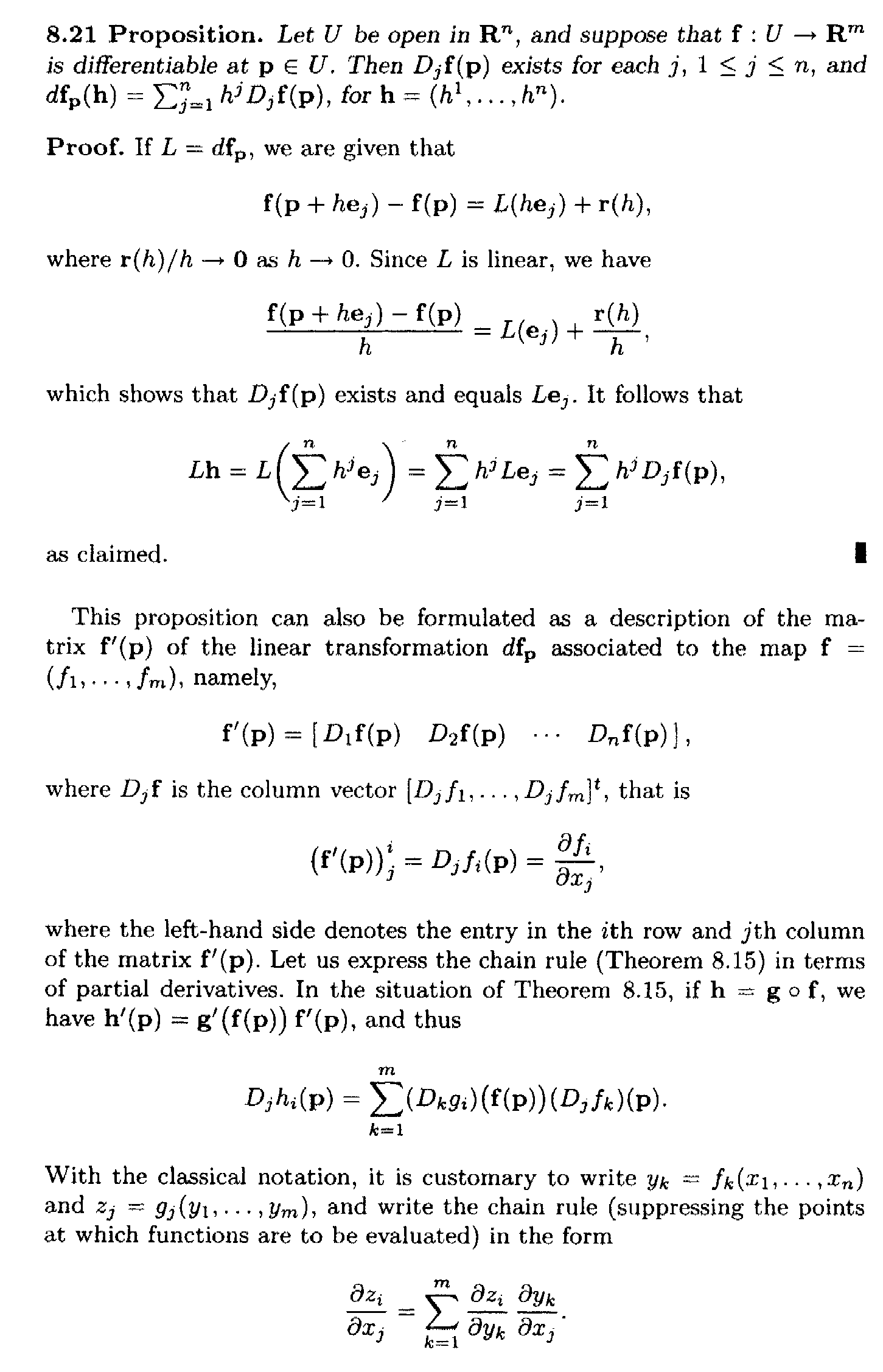
I need some help with fully understanding some remarks by Browder made after the proof of Proposition 8.21 ... ...Proposition 8.21 (including some preliminary material and some remarks after the proof) reads as follows:View attachment 9443
View attachment 9444
After the proof of Proposition 8.21, Browder makes the following remarks:

" ... ... This proposition can also be formulated as a description of the matrix $$f'(p)$$ of the linear transformation $$\text{df}_p$$ associated with the map $$f = ( f_1, \ldots , f_m )$$ namely

$$f'(p) = [ \ D_1 f(p) \ \ D_2 f(p) \ \ldots \ D_n f(p)]$$

where $$D_jf$$ is the column vector $$[D_jf_1, \ldots , D_jf_m ]^t$$, that is $$( f'(p) )_j^i = D_jf_i(p) = \frac{ \partial f_i }{ \partial x_j }$$ where the left-hand side denotes the entry in the ith row and jth column of the matrix $$f'(p)$$ ...

... ... ... "

My questions are as follows ...How/why exactly do we know that

$$f'(p) = [ \ D_1 f(p) \ \ D_2 f(p) \ \ldots \ D_n f(p)]$$ ... ... and further ...How/why exactly do we know that

$$( f'(p) )_j^i = D_jf_i(p) = \frac{ \partial f_i }{ \partial x_j }$$ ...
Help will be much appreciated ...

Peter
 

Attachments

  • Browder - 1 -  Proposition 8.21 ... PART 1 ... .png
    Browder - 1 - Proposition 8.21 ... PART 1 ... .png
    16.8 KB · Views: 169
  • Browder - 2 -  Proposition 8.21 ... PART 2 ... .png
    Browder - 2 - Proposition 8.21 ... PART 2 ... .png
    35.8 KB · Views: 160
Physics news on Phys.org
Peter said:
I am reading Andrew Browder's book: "Mathematical Analysis: An Introduction" ... ...

I am currently reading Chapter 8: Differentiable Maps and am specifically focused on Section 8.2 Differentials ... ...

I need some help with fully understanding some remarks by Browder made after the proof of Proposition 8.21 ... ...Proposition 8.21 (including some preliminary material and some remarks after the proof) reads as follows:

After the proof of Proposition 8.21, Browder makes the following remarks:

" ... ... This proposition can also be formulated as a description of the matrix $$f'(p)$$ of the linear transformation $$\text{df}_p$$ associated with the map $$f = ( f_1, \ldots , f_m )$$ namely

$$f'(p) = [ \ D_1 f(p) \ \ D_2 f(p) \ \ldots \ D_n f(p)]$$

where $$D_jf$$ is the column vector $$[D_jf_1, \ldots , D_jf_m ]^t$$, that is$$( f'(p) )_j^i = D_jf_i(p) = \frac{ \partial f_i }{ \partial x_j }$$where the left-hand side denotes the entry in the ith row and jth column of the matrix $$f'(p)$$ ...

... ... ... "

My questions are as follows ...How/why exactly do we know that

$$f'(p) = [ \ D_1 f(p) \ \ D_2 f(p) \ \ldots \ D_n f(p)]$$ ... ...and further ...How/why exactly do we know that

$$( f'(p) )_j^i = D_jf_i(p) = \frac{ \partial f_i }{ \partial x_j }$$ ...
Help will be much appreciated ...

Peter

Because my questions in the above post may be vague, I intend to illustrate the above proposition with an example and ask MHB helpers to comment on my example ...So ... consider $$f: \mathbb{R}^2 \to \mathbb{R}^3$$

where $$f(x, y) = (xy, x + y, x^2)$$

and $$f_1(x, y) = xy$$, $$f_2(x, y) = x + y$$, and $$f_3(x, y) = x^2$$

and also $$e_1 = (1, 0)$$ , $$e_2 = (0, 1)$$ and $$p = (a, b)$$ ... ...Now calculate $$D_1 f(p)$$ and $$D_2 f(p)$$ from first principles

First calculate $$D_1 f(p) = \lim_{ h^1 \to 0 } \frac{ f(p + h^1e_1) - f(p) }{ h^1}$$Now $$f(p + h^1e_1) = f ( (a, b) + h^1(1,0) )$$

$$= f( a + h^1, b )$$

$$= ( ab + h^1b, a + h^1 + b, a^2 + 2ah^1 + h^{1 \ 2} )$$

Also we have $$f(p) = f(a, b) = ( ab, a + b, a^2 )$$... so then ...$$\frac{ f(p + h^1e_1) - f(p) }{ h} = \frac{ ( h^1b , h^1, 2ah^1 + h^{1 \ 2} ) }{ h^1} = \begin{pmatrix}b \\ 1 \\ 2a + h^1 \end{pmatrix}$$Therefore $$D_1 f(p) = \lim_{ h^1 \to 0 } \frac{ f(p + h^1e_1) - f(p) }{ h^1} = \begin{pmatrix} b \\ 1 \\ 2a \end{pmatrix}$$Similarly we can determine $$D_2 f(p) = = \begin{pmatrix}a \\ 1 \\ 0 \end{pmatrix}$$
Now the Proposition shows that $$D_j f(p) = Le_j$$ so in terms of the example$$Le_1 = D_1 f(p) = \begin{pmatrix} b \\ 1 \\ 2a \end{pmatrix}$$

and

$$Le_2 = D_2 f(p) = \begin{pmatrix} a \\ 1 \\ 0 \end{pmatrix}$$Now if we take $$L = \begin{pmatrix} b & a \\ 1 & 1 \\ 2a & 0 \end{pmatrix}$$ ( BUT! can we legitimately do this at this point ... ?)

... then ...

$$Le_1 = L \begin{pmatrix} 1 \\ 0 \end{pmatrix} = \begin{pmatrix} b & a \\ 1 & 1 \\ 2a & 0 \end{pmatrix} \begin{pmatrix} 1 \\ 0 \end{pmatrix} = \begin{pmatrix} b \\ 1 \\ 2a \end{pmatrix}$$

and

$$Le_2 = L \begin{pmatrix} 0 \\ 1 \end{pmatrix} = \begin{pmatrix} b & a \\ 1 & 1 \\ 2a & 0 \end{pmatrix} \begin{pmatrix} 0 \\ 1 \end{pmatrix} = \begin{pmatrix} a \\ 1 \\ 0 \end{pmatrix}$$
Now we can illustrate the last line of the proof of Proposition 8.21 in terms of the example ...We have ...$$Lh = L ( h^1, h^2 ) = L( \sum_{ j = 1}^2 h^j e_j ) = L (h^1 e_1 + h^2 e_2)$$$$\Longrightarrow Lh = h^1 Le_1 + h^2 Le_2$$$$\Longrightarrow Lh = h^1 \begin{pmatrix} b \\ 1 \\ 2a \end{pmatrix} + h^2 \begin{pmatrix} a \\ 1 \\ 0 \end{pmatrix}$$$$= \begin{pmatrix} bh^1 \\ h^1 \\ 2ah^1 \end{pmatrix} + \begin{pmatrix} ah^2 \\ h^2 \\ 0 \end{pmatrix}$$$$= \begin{pmatrix} bh^1 + ah^2 \\ h^1 + h^2 \\ 2ah^1 \end{pmatrix}$$... or in terms of partial derivatives ...$$\Longrightarrow Lh = \sum_{ j = 1}^2 h^j D_j f(p)$$$$= h^1 D_1 f(p) + h^2 D_2 f(p)$$$$= h^1 \begin{pmatrix} b \\ 1 \\ 2a \end{pmatrix} + h^2 \begin{pmatrix} a \\ 1 \\ 0 \end{pmatrix}$$$$= \begin{pmatrix} bh^1 + ah^2 \\ h^1 + h^2 \\ 2ah^1 \end{pmatrix}$$
Is the above example essentially correct ...

Any comments ...Peter
 
Last edited:


Great question, Peter. Let's break down these remarks and try to understand them better.

First, let's recall that the map f: U \to \mathbb{R}^m is differentiable at a point p \in U if there exists a linear transformation \text{df}_p : \mathbb{R}^n \to \mathbb{R}^m such that

\lim_{h\to 0} \frac{ \| f(p+h) - f(p) - \text{df}_p(h) \| }{ \| h \| } = 0

In other words, the map f is differentiable at p if it can be approximated by a linear transformation at that point.

Now, let's look at the matrix f'(p). This is a m \times n matrix, where the (i,j)th entry is given by ( f'(p) )_j^i. In other words, this entry tells us how the jth component of f varies with respect to the ith variable at the point p. We can also interpret this as the jth partial derivative of the ith component of f at p.

Now, the column vector D_jf(p) is defined as [D_jf_1(p), \ldots , D_jf_m(p)]^t. This vector represents the partial derivatives of the jth component of f at p with respect to all the variables. So, for example, D_1f(p) represents the partial derivatives of the first component of f at p with respect to all the variables.

Therefore, the matrix f'(p) can be written as [ \ D_1 f(p) \ \ D_2 f(p) \ \ldots \ D_n f(p)]. This is because each column represents the partial derivatives of a different component of f at p.

Finally, we can see that ( f'(p) )_j^i = D_jf_i(p) = \frac{ \partial f_i }{ \partial x_j } by comparing the (i,j)th entry of the matrix f'(p) with the (i,j)th entry of the vector D_jf(p). They are both representing the partial derivative of the ith component of f at p with respect to the jth variable.

I hope this helps clarify the remarks made by Browder. Let me know if you have any further questions. Happy reading
 

Similar threads

  • · Replies 2 ·
Replies
2
Views
2K
  • · Replies 2 ·
Replies
2
Views
2K
Replies
7
Views
2K
Replies
2
Views
2K
Replies
2
Views
2K
Replies
1
Views
2K
Replies
2
Views
2K
Replies
2
Views
2K
  • · Replies 4 ·
Replies
4
Views
2K
Replies
2
Views
2K