Angular Speed/Torque Homework: Hubble Telescope | Answers Provided

  • Thread starter Thread starter reminiscent
  • Start date Start date
  • Tags Tags
    Angular
Click For Summary

Homework Help Overview

The discussion revolves around the angular speed and work done by the Hubble Space Telescope's reaction motor, involving concepts of angular motion, torque, and moment of inertia.

Discussion Character

  • Exploratory, Conceptual clarification, Mathematical reasoning

Approaches and Questions Raised

  • Participants explore the calculation of torque using the applied force and radius, and the subsequent determination of angular acceleration. Questions arise regarding the method to find work done and angular displacement during the telescope's rotation.

Discussion Status

Participants are actively engaging with the problem, offering guidance on calculating torque and angular acceleration. There is a focus on understanding the relationship between angular displacement and angular speed, with some participants questioning the assumptions made in their calculations.

Contextual Notes

Participants note that the problem does not specify the direction of rotation, only the magnitude of angular speed. There is also mention of the need to consider angular displacement in the context of constant angular acceleration.

reminiscent
Messages
131
Reaction score
2

Homework Statement


The Hubble space telescope has a maximum diameter (cylinder) of 4.20 m and a moment of inertia of 77,217 kg-m2 about its axis. A reaction motor applies a force of 18.0 N tangentially to the edge of the cylinder for 5.00 seconds. (a) What is the angular speed of the telescope after the 5 second interval? (b) How much work did the reaction motor do on the telescope?

Homework Equations


81a69207104f00baaabd6f84cafd15a0.png
= Iα
W = Fd

The Attempt at a Solution


I don't know where to really start with this problem. Can anyone give me a few clues?
 
Physics news on Phys.org
Take the first equation, ∑T = I α. You're given I and you know the diameter of the telescope and the force applied to it. What's the resultant torque? Do you know how to calculate torque?

Once you calculate torque, what's the angular acceleration of the telescope? If the scope accelerates for 5 sec. from rest, what's the angular speed?
 
Last edited by a moderator:
SteamKing said:
Take the first equation, ∑T = I α. You're given I and you know the diameter of the telescope and the force applied to it. What's the resultant torque? Do you know how to calculate torque?

Once you calculate torque, what's the angular acceleration of the telescope? If the scope accelerates for 5 sec. from rest, what's the angular speed?
Okay I found the torque by multiplying the applied force (18.0 N) by the radius (2.1 m). I then divided that by the moment of inertia to give me the angular acceleration. Then multiplied the angular acceleration by 5 seconds. Is that correct?
 
SteamKing said:
Take the first equation, ∑T = I α. You're given I and you know the diameter of the telescope and the force applied to it. What's the resultant torque? Do you know how to calculate torque?

Once you calculate torque, what's the angular acceleration of the telescope? If the scope accelerates for 5 sec. from rest, what's the angular speed?
Should I go about giving direction or is that unnecessary here?
 
reminiscent said:
Should I go about giving direction or is that unnecessary here?
The problem doesn't care in which direction the telescope rotates, only how fast.
reminiscent said:
Okay I found the torque by multiplying the applied force (18.0 N) by the radius (2.1 m). I then divided that by the moment of inertia to give me the angular acceleration. Then multiplied the angular acceleration by 5 seconds. Is that correct?
Yes.
 
SteamKing said:
The problem doesn't care in which direction the telescope rotates, only how fast.

Yes.
Okay, so how would I find the work? I know that W=Fd - the force that the reaction motor applies on the cylinder is 18.0 N, but what about the distance?
 
reminiscent said:
Okay, so how would I find the work? I know that W=Fd - the force that the reaction motor applies on the cylinder is 18.0 N, but what about the distance?
Since the telescope is rotating, the distance will be the angular displacement which occurs over that 5-sec. interval.

E = τ ⋅ θ

θ - angular displacement, radians
τ - torque, N-m
E - energy or work, N-m
 
SteamKing said:
Since the telescope is rotating, the distance will be the angular displacement which occurs over that 5-sec. interval.

E = τ ⋅ θ

θ - angular displacement, radians
τ - torque, N-m
E - energy or work, N-m
How would I find the angular displacement? Would it just be multiplying the angular speed I found by 5 seconds?
 
reminiscent said:
How would I find the angular displacement? Would it just be multiplying the angular speed I found by 5 seconds?
No, because the telescope was undergoing a constant angular acceleration during that time.

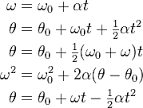
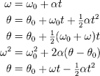
Just like you can calculate the linear distance traveled while undergoing a linear acceleration, there are equivalent formulas to calculate the angular displacement made while undergoing angular displacement. These are the angular equivalents of the well-known SUVAT equations.


upload_2016-4-3_16-50-26.png

 
  • #10
SteamKing said:
No, because the telescope was undergoing a constant angular acceleration during that time.

Just like you can calculate the linear distance traveled while undergoing a linear acceleration, there are equivalent formulas to calculate the angular displacement made while undergoing angular displacement. These are the angular equivalents of the well-known SUVAT equations.

Okay so I got for a) 0.00245 rad/s. For b), I got angular displacement as 0.006125 radians. I multiplied that by (18.0 N)(2.1 m) and I got 0.232 J. Is that correct?
 
  • #11
reminiscent said:
Okay so I got for a) 0.00245 rad/s. For b), I got angular displacement as 0.006125 radians. I multiplied that by (18.0 N)(2.1 m) and I got 0.232 J. Is that correct?
These results look correct to me.
 

Similar threads

Replies
5
Views
2K
  • · Replies 5 ·
Replies
5
Views
2K
  • · Replies 8 ·
Replies
8
Views
4K
  • · Replies 11 ·
Replies
11
Views
3K
Replies
1
Views
4K
Replies
9
Views
8K
  • · Replies 9 ·
Replies
9
Views
3K
  • · Replies 9 ·
Replies
9
Views
3K
  • · Replies 2 ·
Replies
2
Views
2K
  • · Replies 24 ·
Replies
24
Views
6K