Another relativistic particle decay question

Click For Summary
SUMMARY

The discussion focuses on the decay of unstable particles, specifically the lambda particle (Λ), with a mean lifetime τ defined as τ=2.2µs and a measured cτ of 7.89cm. Participants analyze the effects of relativistic speeds, particularly at 0.5c, on the number of particles remaining after traveling a distance of 7.89cm. The key equations discussed include N(t) = N0e−t/τ and the need to express decay equations in terms of the defined quantity cτ. The conversation emphasizes the importance of time dilation and length contraction in particle decay analysis.

PREREQUISITES
  • Understanding of special relativity concepts such as time dilation and length contraction
  • Familiarity with particle decay equations, specifically N(t) = N0e−t/τ
  • Knowledge of relativistic speeds, particularly fractions of the speed of light (c)
  • Ability to manipulate equations involving exponential decay and ratios
NEXT STEPS
  • Learn how to derive decay equations for particles in relativistic contexts
  • Study the implications of time dilation on particle lifetimes in different reference frames
  • Explore the concept of Lorentz factor (γ) and its applications in particle physics
  • Investigate other unstable particles and their decay characteristics in high-speed scenarios
USEFUL FOR

Physics students, particle physicists, and educators looking to deepen their understanding of relativistic particle decay and the effects of speed on unstable particles.

Elvis 123456789
Messages
158
Reaction score
6

Homework Statement


Unstable particles cannot live very long. Their mean life time t is defined by N(t) = N0e−t/τ , i.e., after a time of t, the number of particles left is N0/e. (For muons, τ=2.2µs.) Due to time dilation and length contraction, unstable particles can still travel far if their speeds are high enough.

For some particles, the mean life time is so small that it is more convenient to define τ using the quatity cτ (c is the speed of light). For example, the particle Λ has a cτ measured to be 7.89cm.

a) If the Λ is traveling at 0.5c, how many of L are left after traveling 7.89cm?

b) How far would the Λ’s have travelled, if only 50% of them are left?

c) (Extra) Derive the general expression of N(L)/N0 for the Λ particles, as a function of L (distance travelled) and the speed v (arbitrary, not just always 0.5c) of the Λ particles.

Homework Equations


N(t) = N0e−t/τ

t_e = t_Λ *γ

L_Λ = L_e/γ

t_e & L_e is the time and length measured in the Earth frame of reference

and t_Λ and L_Λ is the time and length measured in the lambda particle frame of reference

I did all the parts but I feel pretty unsure about it. These relativity questions just feel really ambiguous to me. I was hoping you guys could take a look and let me know if it seems ok. Thanks in advance!

The Attempt at a Solution



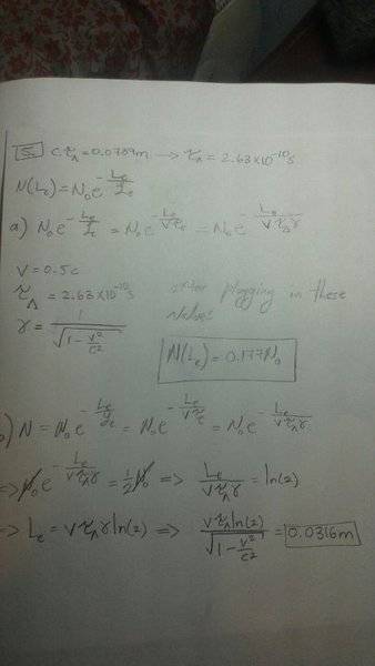
Parts a.) , b.), and c.) are in the attached image
[/B]
I assumed that the cτ = 7.89 cm is in the particle's FR

and for part a that the 7.89cm traveled was in the earth/lab FR
 

Attachments

  • question 5 particle decay #1.jpg
    question 5 particle decay #1.jpg
    16.7 KB · Views: 546
  • question 5 particle decay #2.jpg
    question 5 particle decay #2.jpg
    23.6 KB · Views: 567
Physics news on Phys.org
Your answers look correct to me.

But note that it would be nice to express your equations in terms of the defined quantity ##c \tau_\Lambda##. Thus you can write ##N = N_0 \exp \left(- \frac{L}{v \gamma \tau_\Lambda} \right)## as ##N = N_0 \exp \left(- \frac{L}{(v/c) \gamma (c \tau_\Lambda )} \right)##. Then you can just use the given value for ##c \tau_\Lambda ## in the calculation for part (a) without having to find ##v## in m/s or ##\tau_\Lambda## in seconds.

For part (c), I think they want an equation for the ratio ##N/N_0##, which just requires a little change in what you wrote. They might prefer the equation to be written in terms of the the quantity ##c \tau_\Lambda ##. But, maybe not.
 
Last edited:
Elvis 123456789 said:
Due to time dilation and length contraction, unstable particles can still travel far if their speeds are high enough.
If there were no time dilation or length contraction, unstable particles would still travel far if their speeds are high enough.
 

Similar threads

Replies
2
Views
2K
  • · Replies 1 ·
Replies
1
Views
2K
  • · Replies 4 ·
Replies
4
Views
2K
  • · Replies 2 ·
Replies
2
Views
2K
Replies
4
Views
2K
Replies
3
Views
2K
  • · Replies 2 ·
Replies
2
Views
3K
  • · Replies 3 ·
Replies
3
Views
3K
  • · Replies 30 ·
2
Replies
30
Views
4K
  • · Replies 1 ·
Replies
1
Views
3K