B-field for a half-infinitely long wire

  • Thread starter Thread starter member 731016
  • Start date Start date
  • Tags Tags
    B-field Wire
Click For Summary

Homework Help Overview

The problem involves calculating the magnetic field generated by a half-infinite long wire using the Biot–Savart Law. Participants are exploring the implications of the formula and the variables involved in the context of this specific setup.

Discussion Character

  • Exploratory, Conceptual clarification, Mathematical reasoning, Assumption checking

Approaches and Questions Raised

  • Participants discuss the application of the Biot–Savart Law and express uncertainty regarding the integration limits and the interpretation of variables in the formula. There are questions about the implications of the wire being infinitely long and how that affects the calculations.

Discussion Status

Some participants have provided clarifications regarding the variables in the formula, while others are questioning the reasoning behind the limits of integration and the relationship between the angles and distances involved. There is an ongoing exploration of the correct approach without a clear consensus yet.

Contextual Notes

Participants note the importance of understanding the context of the variables in the Biot–Savart Law and the challenges posed by the infinite length of the wire in the calculations.

member 731016
Homework Statement
Please see below
Relevant Equations
Please see below
For this problem,
1674757975575.png

The solution is
1674757999684.png


However, I would like to understand how to solve this using Biot–Savart Law.

So far my working is:

## \vec {dB} = \frac {\mu_0Ids\sin\theta} {4\pi r^2}##

However, I'm not sure what to do about the ## r^2 ## since the wire is infinitely long. I am thinking about having the limits of integration to be ## \theta_1 = 0 ## and ## \theta_2 = \frac {\pi} {2} ##

Many thanks!
 
Physics news on Phys.org
Callumnc1 said:
.So far my working is:

## \vec {dB} = \frac {\mu_0Ids\sin\theta} {4\pi r^2}##
Knowing a formula is of no value unless you know what all the variables mean and in what context the formula applies.
Please state what those variables mean here. From that you should be able to answer your question.
 
  • Like
Likes   Reactions: anuttarasammyak, member 731016 and PeroK
As your LHS is vector, RHS should be vector also. Check it out.
 
  • Like
Likes   Reactions: member 731016
haruspex said:
Knowing a formula is of no value unless you know what all the variables mean and in what context the formula applies.
Please state what those variables mean here. From that you should be able to answer your question.
Thank you for your reply @haruspex!

##\mu_0## is the magnetic permeability of free space
##I## is the current in the vertical wire
## ds ## is the length element of the wire
## r^2 ## is the distance from each ##ds## to point ##P##

I think the thing that was tripping me up was that I thinking that we could call the infinite length to be ##a## which would mean that ##\tan\theta = \frac {x} {a} ## however this would be zero since ## a \rightarrow \infty ## then ##\tan \theta \rightarrow 0 ##. I was then going to solve for ##\theta## and have limits of integration to be angles ## \theta_1 = 0 ## and ## \theta_2 = \frac {\pi} {2} ##. However now I think I should get ## r ## in terms of ## \sin\theta ##. I will try to solve that now. Is my reasoning correct so far?
 
Last edited by a moderator:
  • Like
Likes   Reactions: TSny
anuttarasammyak said:
As your LHS is vector, RHS should be vector also. Check it out.
Thanks @anuttarasammyak ! Sorry both sides should have ##-\hat k## as the direction.
 
Callumnc1 said:
I should get ## r ## in terms of ## \sin\theta ##.
Yes.
 
  • Like
Likes   Reactions: member 731016
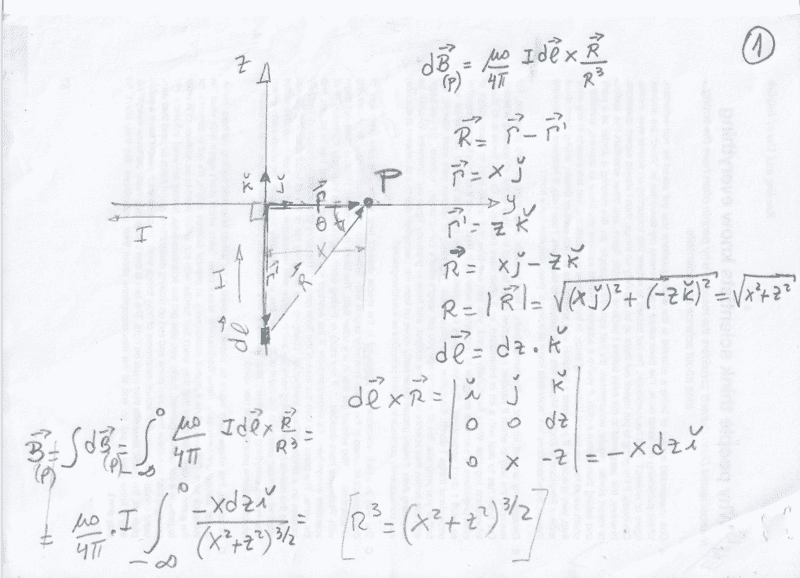
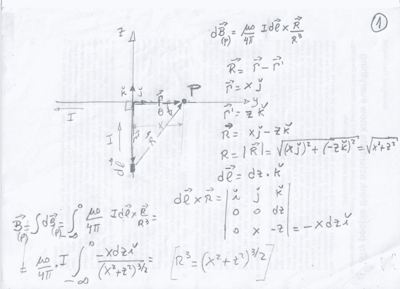
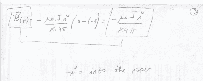
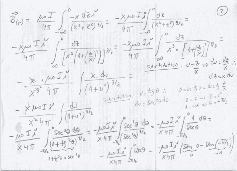
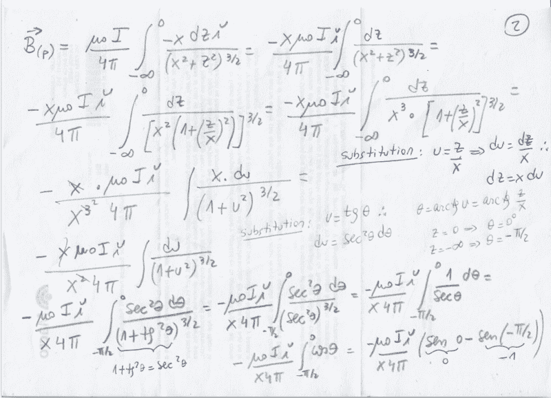
1674778111259.png

1674778179068.png

1674778209637.png
 
  • Like
Likes   Reactions: member 731016
haruspex said:
Yes.
Thank you @haruspex !
 
  • #10
Callumnc1 said:
Thank you for your solution @Alex Schaller! :)
You are welcome
 
  • Like
Likes   Reactions: member 731016

Similar threads

  • · Replies 5 ·
Replies
5
Views
3K
Replies
3
Views
3K
  • · Replies 3 ·
Replies
3
Views
1K
Replies
8
Views
2K
Replies
3
Views
2K
  • · Replies 12 ·
Replies
12
Views
2K
Replies
5
Views
1K
Replies
3
Views
1K
Replies
7
Views
2K
  • · Replies 18 ·
Replies
18
Views
2K