BuggyWungos
- 13
- 1
- Homework Statement
- Find the magnetic field strength at point P (illustration below)
- Relevant Equations
- $$d\vec{B}(r) = \dfrac{\mu_0}{4\pi}\dfrac{Id\vec{l}\times\hat{r}}{r^2}$$
My attempt:
$$d\vec{B}(r) = \dfrac{\mu_0}{4\pi}\dfrac{Id\vec{l}r\sin{\theta}}{r^2}$$
$$d\vec{B}(r) = \dfrac{\mu_0}{4\pi}\dfrac{Id\vec{l}\sin{\theta}}{r}$$
$$ \sin{\theta} = \dfrac{y}{(x^2+y^2)^{1/2}}$$
$$ d\vec{B}(r) = \dfrac{\mu_0}{4\pi}\dfrac{Id\vec{l}}{r}\dfrac{y}{(x^2+y^2)^{1/2}}$$
$$d\vec{B}(r) = \dfrac{\mu_0}{4\pi}\dfrac{Id\vec{l}y}{r^2}$$
$$d\vec{B}(r) = \dfrac{\mu_0}{4\pi}\dfrac{Iyd\vec{l}}{r^2}$$
This is what I determined to be the magnetic force at P due to ##d\vec{I}##
$$B(r) = \int_{-\infty}^{+\infty} d\vec{B}(r)$$
$$B(r) =\int_{-\infty}^{+\infty} \dfrac{\mu_0}{4\pi}\dfrac{Iyd\vec{l}}{r^2}$$
$$B(r) =\dfrac{\mu_0}{4\pi}\dfrac{Iy\vec{l}}{r^2} \Big|_{-\infty}^{+\infty}$$
I don't think my solution is solvable, it just becomes positive infinity minus negative infinity
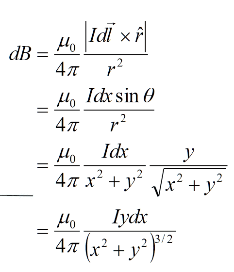
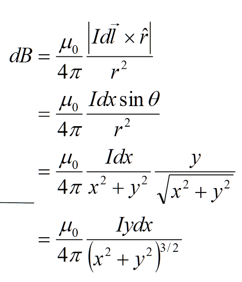
My professor had a different solution to ##d\vec{B}(r)##
I don't understand where ##r## went and how ##dx## was brought forth in the second step

