Bessel Function Zeros - To find Energy Levels

Click For Summary

Homework Help Overview

The discussion revolves around finding the energy levels of an electron in a cylindrical shape, specifically using Bessel function zeros. Participants are exploring which specific zeros and integer values of p to use for determining the lowest and subsequent energy levels.

Discussion Character

  • Exploratory, Assumption checking, Problem interpretation

Approaches and Questions Raised

  • Participants discuss the appropriate Bessel function zeros to use for calculating energy levels, questioning the selection of values such as 2.4048 and 5.5201. There is also inquiry into the implications of the ratio a/L on the choice of zeros and the values that p can take.

Discussion Status

There is an ongoing exploration of the relationships between the quantum numbers and energy levels. Some participants have provided insights into the symmetry of the potential and the nature of the solutions, while others are questioning the logic behind selecting specific pairs of zeros and quantum numbers. Multiple interpretations are being considered without a clear consensus.

Contextual Notes

Participants mention specific values for a and L (3nm and 5nm, respectively) and discuss the implications of these values on the selection of Bessel function zeros. There is also a note on the potential symmetry and its effect on the solutions being discussed.

LiorSh
Messages
24
Reaction score
0
[Mentors' note: Moved from the technical forums, so no template]

Hi,

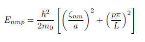
I have to find energy levels of an electron in a cylindrical shape. I know how to derive the formula below:
upload_2018-7-15_15-33-21.png

However, I'm not sure which zero value and what intger p I need to use in order to find the lowest energy.
If these are the bessel function zeros:
upload_2018-7-15_15-34-31.png


Lets say, I want to find the lowest energy - Do I need to use the value of 2.4048 and p =1 ? What about the second lowest? would I use 5.5201 and p=2?
Thanks!Lior
 

Attachments

  • upload_2018-7-15_15-33-21.png
    upload_2018-7-15_15-33-21.png
    2.5 KB · Views: 1,043
  • upload_2018-7-15_15-34-31.png
    upload_2018-7-15_15-34-31.png
    8.9 KB · Views: 1,047
Last edited by a moderator:
Physics news on Phys.org
LiorSh said:
[Mentors' note: Moved from the technical forums, so no template]

Hi,

I have to find energy levels of an electron in a cylindrical shape. I know how to derive the formula below: View attachment 228070
However, I'm not sure which zero value and what intger p I need to use in order to find the lowest energy.
If these are the bessel function zeros:
View attachment 228071

Lets say, I want to find the lowest energy - Do I need to use the value of 2.4048 and p =1 ?

What values can p take? If the smallest value is 1 then yes, your choice gives the lowest energy.

What about the second lowest? would I use 5.5201 and p=2?
Thanks!Lior
Why do you consider 5.5201 instead of 3.8317??
For the second lowest, the answer depends on the ratio a/L. Without that value, we cannot tell for sure.
 
a is 3nm, and L is 5nm. Also I thought that only the first column is for a symmtric cylinder, and the second colum is for a general soultion only. Isn't that the case? Thank you!
nrqed said:
What values can p take? If the smallest value is 1 then yes, your choice gives the lowest energy.Why do you consider 5.5201 instead of 3.8317??
For the second lowest, the answer depends on the ratio a/L. Without that value, we cannot tell for sure.
 
LiorSh said:
a is 3nm, and L is 5nm. Also I thought that only the first column is for a symmtric cylinder, and the second colum is for a general soultion only. Isn't that the case? Thank you!
The potential is symmetrical, but the solutions do not have to be (for example a state with angular momentum in the hydrogen atom is not spherically symmetric even though the Coulomb potential is spherically symmetric). However, to answer properly we need to know what the table means, exactly, by "zeroes". Are these the values that give a zero of the wave function at the surface of the cylinder (I would think so)? In that case, all values are possible.

Given the values of "a" and "L", look at what happens when you increase p but keep n,m as they were for the ground state. Then see what happens when you keep p but increase n,m to get the next possible value. One of these two choices will give a smaller value than the other and that will be the second lowest energy state.
 
nrqed said:
The potential is symmetrical, but the solutions do not have to be (for example a state with angular momentum in the hydrogen atom is not spherically symmetric even though the Coulomb potential is spherically symmetric). However, to answer properly we need to know what the table means, exactly, by "zeroes". Are these the values that give a zero of the wave function at the surface of the cylinder (I would think so)? In that case, all values are possible.

Given the values of "a" and "L", look at what happens when you increase p but keep n,m as they were for the ground state. Then see what happens when you keep p but increase n,m to get the next possible value. One of these two choices will give a smaller value than the other and that will be the second lowest energy state.
So these are my results:
for p = 1, and zero value = 2.4048, I for sure get the lowest energy, and the logic make sense. I took the lowest possible values of p and the zeros.
then for the second lowest, p=2, and zero=2.4048, and for the thrid I got p=1, and zero = 5.5201.

Doest it make sense?
 
LiorSh said:
So these are my results:
for p = 1, and zero value = 2.4048, I for sure get the lowest energy, and the logic make sense. I took the lowest possible values of p and the zeros.
then for the second lowest, p=2, and zero=2.4048, and for the thrid I got p=1, and zero = 5.5201.

Doest it make sense?
Again, all the zeros are allowed, you don't have to force n=0. That will change your answer.
 
I'm not sure I completely understand. Is there some logic to which pairs I should pick? I mean, there is an infinite number of combinations.
 
LiorSh said:
I'm not sure I completely understand. Is there some logic to which pairs I should pick? I mean, there is an infinite number of combinations.
you try a few values and it will be clear which one is the smallest. Clearly for the ground state, p=1 and n,m=0,1 gives the smallest value.

For the second lowest, just check what happens when you increase each of the quantum numbers separately, so try p=2,(n,m)=0,1 and then p=1,(n,m)=1,1 and then p=1, (n,m)=0,2. These are the only three sensible things to try for the second lowest.

For the next one, you look at all the possibilities of increasing two of the quantum numbers from the ground state. There are more possibilities, for example try p=3, (n,m)=0,1 then try p=2, (n,m)=(1,1) then p=2, (n,m)=2,1, etc (for a given p, you can see directly from the table what you should pick for n,m, no need to do a calculation).etc There are many cases to consider but not an infinity!
 
Yes, that's what I thought. It makes sense now :) Thank you so much!
 
  • #10
LiorSh said:
Yes, that's what I thought. It makes sense now :) Thank you so much!
Great! And you are very welcome.
 

Similar threads

  • · Replies 13 ·
Replies
13
Views
4K
  • · Replies 5 ·
Replies
5
Views
4K
  • · Replies 2 ·
Replies
2
Views
2K
  • · Replies 1 ·
Replies
1
Views
2K
  • · Replies 1 ·
Replies
1
Views
4K
  • · Replies 1 ·
Replies
1
Views
2K
Replies
1
Views
2K
Replies
2
Views
3K
  • · Replies 1 ·
Replies
1
Views
2K
  • · Replies 2 ·
Replies
2
Views
3K