Binomial Theorem Homework Help: 3/2 in Parentheses?

Click For Summary

Homework Help Overview

The discussion revolves around the interpretation and application of the binomial coefficient, specifically concerning the expression involving 3 over 2 in parentheses. Participants are exploring how to handle this expression in the context of combinations and factorials.

Discussion Character

  • Conceptual clarification, Mathematical reasoning, Assumption checking

Approaches and Questions Raised

  • Participants are questioning how to apply the binomial coefficient formula, particularly in relation to the terms of a binomial expansion. There is confusion regarding the definition and calculation of the first term, especially when dealing with zero factorial.

Discussion Status

Some participants have provided insights into the binomial coefficient and its definition, while others express uncertainty about specific terms. There is an ongoing exploration of the implications of factorials, particularly zero factorial, in the context of the problem.

Contextual Notes

Participants are grappling with the definitions and properties of factorials and combinations, with specific attention to the constraints of the binomial coefficient formula. The discussion reflects a mix of understanding and confusion regarding the application of these concepts.

g.lemaitre
Messages
267
Reaction score
2

Homework Statement



Screenshot2012-06-26at12743AM.png



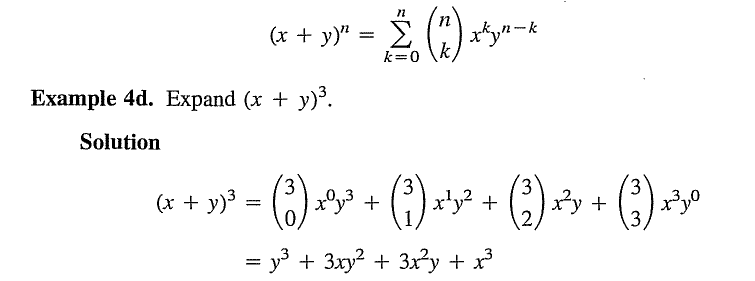
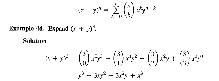
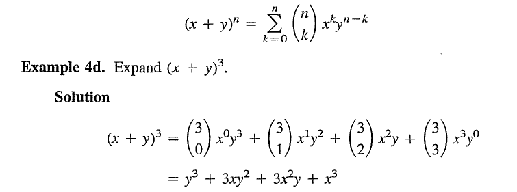
What am I supposed to do with the 3 over 2 in the parentheses? It can be divide and it can be take the factorial. So what do I do with it?
 
Physics news on Phys.org
Hi g.lemaitre :smile:

g.lemaitre said:

Homework Statement



Screenshot2012-06-26at12743AM.png



What am I supposed to do with the 3 over 2 in the parentheses? It can be divide and it can be take the factorial. So what do I do with it?

It is the number of ways of choosing 2 items out of 3 different items. In other words, combinations.

3C2.
 
Hi Infinitum! Call me Georges.

Does that mean you take 3!/2!? That work for the 3rd and 4th term but not for the second term and for the first term I think it's undefined.
 
g.lemaitre said:
Hi Infinitum! Call me Georges.

Does that mean you take 3!/2!? That work for the 3rd and 4th term but not for the second term and for the first term I think it's undefined.

Okay, Georges then.

The binomial coefficient is given as,

[tex]\binom{n}{r} = \frac{n!}{r!(n-r)!}[/tex]

Where, [itex]0 \leq r \leq n[/itex]

Why do you think this isn't defined for the first term??
 
Man, infinitum, you're such a big number it takes me like forever just to count you.

I understand the binomial coefficient and can get the right answer for terms 2 3 and 4 but I'm still having trouble with the first term.

if
[tex]\binom{n}{r} = \frac{n!}{r!(n-r)!}[/tex]

then

[tex]\binom{3}{0} = \frac{3!}{0!(3-0)!} = \frac{6}{0}[/tex]
 
g.lemaitre said:

Homework Statement



Screenshot2012-06-26at12743AM.png


What am I supposed to do with the 3 over 2 in the parentheses? It can be divide and it can be take the factorial. So what do I do with it?
The binary coefficient, [itex]\displaystyle \binom nk[/itex] is defined as follows.

[itex]\displaystyle \binom nk = \frac{n!}{k!\,(n-k)!}\ , \quad \mbox{for }\ 0\leq k\leq n[/itex]
 
g.lemaitre said:
Man, infinitum, you're such a big number it takes me like forever just to count you.

I understand the binomial coefficient and can get the right answer for terms 2 3 and 4 but I'm still having trouble with the first term.

if
[tex]\binom{n}{r} = \frac{n!}{r!(n-r)!}[/tex]

then

[tex]\binom{3}{0} = \frac{3!}{0!(3-0)!} = \frac{6}{0}[/tex]

0! (zero factorial) is not equal to 0...

See the summary of this article : https://www.physicsforums.com/showthread.php?t=530207
 
Last edited by a moderator:
thanks, i got it now.
 
zero factorial equals one.
 

Similar threads

  • · Replies 14 ·
Replies
14
Views
3K
  • · Replies 2 ·
Replies
2
Views
1K
  • · Replies 2 ·
Replies
2
Views
2K
  • · Replies 8 ·
Replies
8
Views
3K
  • · Replies 13 ·
Replies
13
Views
2K
  • · Replies 6 ·
Replies
6
Views
2K
  • · Replies 1 ·
Replies
1
Views
3K
  • · Replies 16 ·
Replies
16
Views
1K
  • · Replies 2 ·
Replies
2
Views
2K
  • · Replies 18 ·
Replies
18
Views
2K