Binomial theorem induction proof

Click For Summary
SUMMARY

The discussion centers on the proof of the Binomial Theorem using mathematical induction. Participants confirm that the proof is valid, emphasizing the simplification of binomial coefficients to terms involving r+1. The conversation highlights the importance of clearly demonstrating how the coefficients relate to the theorem's statement. Overall, the proof is deemed satisfactory with minor suggestions for clarity.

PREREQUISITES
  • Understanding of the Binomial Theorem
  • Familiarity with mathematical induction
  • Knowledge of binomial coefficients
  • Basic algebraic manipulation skills
NEXT STEPS
  • Study the formal proof of the Binomial Theorem
  • Explore examples of mathematical induction proofs
  • Learn about the properties of binomial coefficients
  • Review algebraic techniques for simplifying expressions
USEFUL FOR

Students studying algebra, mathematics educators, and anyone interested in understanding proofs related to the Binomial Theorem.

Syrus
Messages
213
Reaction score
0

Homework Statement



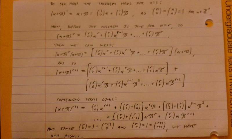
Will someone be kind enough to check my proof (attached) of the following (also attached) theorem?

Homework Equations


The Attempt at a Solution



Oh, and as you might notice, I was beginning to run out of paper, but the binomial coefficients in the bracketed terms obviously simplify to ones in terms of r+1, as the problem statement clearly indicates.
 

Attachments

  • IMAG0941.jpg
    IMAG0941.jpg
    21.5 KB · Views: 494
  • IMAG0942.jpg
    IMAG0942.jpg
    29.5 KB · Views: 486
Physics news on Phys.org
Syrus said:

Homework Statement



Will someone be kind enough to check my proof (attached) of the following (also attached) theorem?


Homework Equations





The Attempt at a Solution



Oh, and as you might notice, I was beginning to run out of paper, but the binomial coefficients in the bracketed terms obviously simplify to ones in terms of r+1, as the problem statement clearly indicates.

Look pretty ok to me. And sure, pointing out how the other terms are the r+1 coefficients would help.
 

Similar threads

  • · Replies 6 ·
Replies
6
Views
2K
  • · Replies 1 ·
Replies
1
Views
3K
  • · Replies 5 ·
Replies
5
Views
2K
  • · Replies 5 ·
Replies
5
Views
4K
  • · Replies 2 ·
Replies
2
Views
2K
  • · Replies 2 ·
Replies
2
Views
2K
  • · Replies 6 ·
Replies
6
Views
5K
  • · Replies 21 ·
Replies
21
Views
7K
  • · Replies 2 ·
Replies
2
Views
2K
  • · Replies 4 ·
Replies
4
Views
3K