Calculate the center of mass of a non-uniform metal rod

Click For Summary

Homework Help Overview

The discussion revolves around calculating the center of mass (COM) of a non-uniform metal rod, with participants exploring how varying densities affect the position of the COM. The problem involves understanding the implications of density differences and the concept of a two-body system.

Discussion Character

  • Exploratory, Conceptual clarification, Problem interpretation, Assumption checking

Approaches and Questions Raised

  • Participants suggest calculating the COM for each segment of the rod and treating it as a two-body system. There is mention of finding a point along the rod where the mass is balanced, but some express confusion about the correct approach to leverage and mass-weighted positions.

Discussion Status

There is ongoing exploration of different methods to approach the problem, with some participants questioning the assumptions made about mass distribution and volume. Guidance has been offered regarding the need to clarify calculations and the importance of considering the unique properties of each segment of the rod.

Contextual Notes

Some participants note constraints related to not being able to calculate specific numerical values for masses due to the problem's requirements, leading to discussions about the implications of density and volume on the calculations.

VitaminK
Messages
46
Reaction score
4
Homework Statement
A metal rod consists of two parts. one part is a 1.2m metal with the density of 5kg/m3. The other part is a 1,8m metal with the density of 7kg/m3. Calculate the center of mass for this rod.
Relevant Equations
Density=m/v
45819C6E-7A28-4850-83BF-68DE04A45A58.jpeg

I know that if they had the same density they would have the center of mass at 1,5 m. But now that they don't the center of mass will be shifted towards the part of the rod with higher density. they will have their center of mass where they
have equal mass
p1*v=p2*v

now i don't know how to move forward
 
Physics news on Phys.org
calculate the COM for each side then treat it as a 2-body system.
 
  • Like
Likes   Reactions: FactChecker
Do you mean
1.2/2=0.6m
1.8/2= 0.9m
(0.6m+0.9m)

im not familiar with 2-body system (high school physics)
 
If you have a 100lb man standing at -10 on the x axix and a 200lb man standing at +10 on the x axis, where is the center of gravity of the two men considered as one system?
 
300lb/20 = 15 ?
 
VitaminK said:
Do you mean
1.2/2=0.6m
1.8/2= 0.9m
(0.6m+0.9m)

im not familiar with 2-body system (high school physics)
Alternatively, try to find the point ##x## along the rod where there is equal mass on both sides.

PS Ignore this post!
 
Last edited:
PeroK said:
Alternatively, try to find the point ##x## along the rod where there is equal mass on both sides.
you mean p1*v=p2*v --> 5*pi*r^2*l=7*pi*r^2*l now I am confused about the length l
 
There are rod two parts, each with a uniform density, where the center of mass of each part is simple to determine. The original problem can be converted to a problem with the entire mass of the two parts located at their individual centers of mass. That problem is then simple to solve.
 
PeroK said:
Alternatively, try to find the point ##x## along the rod where there is equal mass on both sides.
That won't work. You are not after the point where the mass on both sides is the same. You need the leverage of the two masses to be the same.

Worded differently, you are not after the median [mass-weighted] position. You are after the mean [mass-weighted] position.
 
  • Like
Likes   Reactions: PeroK
  • #10
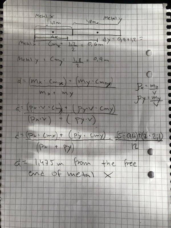
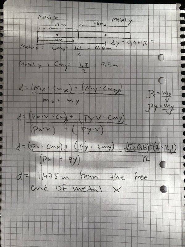
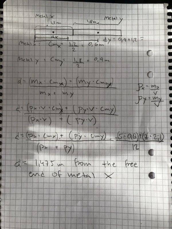
60DE137B-DA3F-4188-898D-D9305E1A2AA9.jpeg

Is this correct?
 
  • #11
VitaminK said:
you mean p1*v=p2*v --> 5*pi*r^2*l=7*pi*r^2*l now I am confused about the length l
Ignore what I said! I wasn't thinking.
 
  • #12
VitaminK said:
View attachment 260260
Is this correct?
That doesn't look right.

Can you break down your calculation so we can see where you've gone wrong?
 
Last edited:
  • #13
That is not the answer I get. To make your calculations more clear, I think you should specifically calculate the two masses, ##M_1, M_2## at two locations, ##x_1,x_2##. Then put them into a final equation to find the center of mass of two masses.

EDIT: Sorry, I see that you can not calculate specific numbers for the masses. You must leave the density in. But I think you can make your calculations more clear. I still think that there is a mistake in your calculations.
 
  • Like
Likes   Reactions: jbriggs444 and PeroK
  • #14
I see the problem. You need to be more careful about the volume. Assuming that the diameter of both parts is identical, the two parts do not have the same volume.
 

Similar threads

Replies
10
Views
3K
  • · Replies 25 ·
Replies
25
Views
2K
  • · Replies 3 ·
Replies
3
Views
2K
Replies
5
Views
2K
  • · Replies 9 ·
Replies
9
Views
3K
  • · Replies 17 ·
Replies
17
Views
2K
Replies
16
Views
3K
Replies
4
Views
2K
  • · Replies 1 ·
Replies
1
Views
4K
Replies
3
Views
2K