Calculate the Hamiltonian chain I for Te122-128

  • Thread starter Thread starter Pual Black
  • Start date Start date
  • Tags Tags
    Chain Hamiltonian
Click For Summary
SUMMARY

The discussion focuses on calculating the Hamiltonian chain I for the isotopes Te122-128 using the Interacting Boson Model (IBM1). The user initially struggled with the appropriate equations and parameters but identified the need to calculate boson numbers, parity, and energy levels for transitions. They concluded that using a specific equation to derive parameters a1, a3, and a4 is essential, followed by inputting these parameters into the IBM1 program for resolution.

PREREQUISITES
  • Understanding of the Interacting Boson Model (IBM1)
  • Familiarity with Hamiltonian equations in nuclear physics
  • Knowledge of boson statistics and energy level transitions
  • Basic proficiency in using IBM1 software for calculations
NEXT STEPS
  • Study the derivation of parameters a1, a3, and a4 in the context of the Interacting Boson Model
  • Learn how to effectively use the IBM1 program for nuclear structure calculations
  • Research Hamiltonian equations specific to nuclear physics
  • Explore the significance of parity and energy levels in nuclear transitions
USEFUL FOR

Nuclear physicists, students studying nuclear structure, and researchers working with the Interacting Boson Model will benefit from this discussion.

Pual Black
Messages
91
Reaction score
1

Homework Statement


calculate the Hamiltonian chain I for Te122-128[/B]

hello
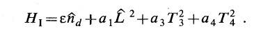
I have to calculate The Hamiltonian and the parameters for U(5) for the Te122-128
this is the equation which i have to use
Untitled.jpg

but this is the first time i use such an equation. i searched in google but i don't know how to search for the solution I calculated the number of bosons and the parity and the energy levels for each transitionCan you give me a link or some tips how to solve it ?
Thank you all
 
I just got it. I have to use another equation from which i get the parameters for this equation.
Then i can caculate the a1 ,a3 , a4
After that i should use the IBM1 programm and enter the parameters. This is the only way to " solve " it
 

Similar threads

  • · Replies 1 ·
Replies
1
Views
2K
Replies
6
Views
4K
Replies
2
Views
2K
  • · Replies 5 ·
Replies
5
Views
2K
  • · Replies 2 ·
Replies
2
Views
4K
  • · Replies 9 ·
Replies
9
Views
2K
  • · Replies 1 ·
Replies
1
Views
2K
  • · Replies 3 ·
Replies
3
Views
3K
Replies
12
Views
3K
  • · Replies 2 ·
Replies
2
Views
3K