Calculate the residual stress on a beam after bending

Click For Summary

Discussion Overview

The discussion revolves around calculating the residual stress on a beam after it has undergone bending, specifically focusing on analytical approaches to model the stress and strain in the beam due to elasto-plastic behavior and springback effects. Participants explore various mathematical formulations and methods to derive the residual stress profile following unloading.

Discussion Character

  • Technical explanation
  • Mathematical reasoning
  • Debate/contested

Main Points Raised

  • One participant presents a linear hardening model for predicting stress and strain during bending, defining strain and stress equations based on the bending radius.
  • Another participant suggests calculating the yielded material and allowing the beam to relax to reach an equilibrium condition, indicating the complexity of the problem.
  • Some participants note that elasto-plastic bending with hardening is challenging to solve analytically, suggesting the use of Finite Element Analysis (FEA) for verification of results.
  • A participant expresses a desire for an analytical solution and discusses calculating the bending moment and stress profile, seeking clarification on how to derive residual stress after unloading.
  • One participant proposes that the bending moment calculated accounts for springback, leading to the conclusion that the residual stress can be derived from the difference between loading and unloading stress profiles.
  • Another participant shares an example of a stress-strain curve obtained from FEA, prompting questions about the validity of the loading diagram used in the simulation.
  • Concerns are raised regarding the accuracy of the stress-strain curve generated from FEA, with calls for clarification on the material behavior represented.
  • A participant describes their approach to deriving the springback equation and the challenges faced due to the beam's geometry, emphasizing the use of Mathematica for complex integrals.

Areas of Agreement / Disagreement

Participants express a mix of viewpoints, with some advocating for analytical methods while others suggest FEA as a more practical approach. There is no consensus on the best method to calculate residual stress, and disagreements arise regarding the interpretation of stress-strain curves and material behavior.

Contextual Notes

Participants acknowledge the limitations of their approaches, including the complexity of the beam's geometry and the potential for errors in mathematical formulations derived from online resources. The discussion highlights the need for careful consideration of assumptions in modeling material behavior.

freddie_mclair
Messages
43
Reaction score
2
TL;DR
After being a beam is bent, due to the springback effect, the resulting bent radius is larger than the bending radius. How can I estimate the residual stress that remains in the beam after an elasto-plastic loading/bending?
Hello everyone, I hope you can give me hand with what I will present.

I have a beam with cross-section shown below.

beam.jpg

I considered a simple linear hardening model for predicting the stress and strain developed by bending the beam on the radius ##R_0## around the y-axis, where:

The strain, ##\varepsilon_L(x)##, can be defined as:
##\varepsilon_L(x) = \frac{x}{R_0}##

And the stress, ##\sigma_L(x)##, developed in the beam due to the loading by bending is:
##\sigma_L(x) = \begin{cases}
\frac{x}{R_0} \cdot E \mbox{, if } x \leq \varepsilon_y \cdot R_0\\
\sigma_L(x) = S_y+(\frac{x}{R_0}-\varepsilon_y)\cdot E_1\mbox{, if } x \gt \varepsilon_y \cdot R_0
\end{cases}##

Where and ##\varepsilon_y = \frac{S_y}{E}##, ##S_y## is the yield strength and ##E## the Young's Modulus.
##E_1## is the tangent modulus which is defined as shown in the picture below.

stress-strain.jpg


I also know that, due to the springback effect, the relationship between the bending radius ##R_0## and the resulting radius ##R_r## is given by:
##\frac{1}{R_0} - \frac{1}{R_r} = \frac{M_b}{EJ}##

Where ##M_b## is the bending moment and ##J## the moment of inertia (in this case ##J=\frac{h^4}{12}-\pi \frac{r^4}{4}##).

The bending moment can be estimated by:
##M_b=2\int_0^{h/2} \sigma_L(x) b(x) x dx##

Where ##b(x)\cdot x## is the cross-sectional area of the beam and ##b(x)## is defined by:
##b(x) = \begin{cases}
h-2\sqrt{r^2-x^2} \mbox{, if } x \leq r\\
h \mbox{, if } x \gt r
\end{cases}##

Now, with all this at hand, how can I estimate the residual stress on the beam after bending, i.e., after unloading the beam?

Thanks in advance!
 
Engineering news on Phys.org
Work through the process that the beam goes through. Calculate the part of the material that has been yielded, and then allow the beam to relax. As it relaxes, there will be internal stresses locked up inside that come to an equilibrium condition. It is a lengthy problem, but should not be insurmountable if you really want to do it.
 
  • Like
Likes   Reactions: Lnewqban
Indeed, elasto-plastic bending with hardening accounted for and unusual cross-section is not an easy thing to solve by hand. In books you will find derivations and examples mostly for rectangular beams and perfect plasticity. But you should be able to modify them for your case (books often provide some hints about how to proceed with other types of beams and more advanced material models). For verification you can use Finite Element Analysis (in open-source software if you don’t have a license for a program like that). FEA will show you everything for every possible scenario - you can get stress and strain distributions (including equivalent plastic strain), displacements and so on. Of course it’s not a problem to unload the beam in FEA or even load it several times to see how various complex material behaviors influence the results.
 
Thanks guys for your reply, but I'm looking for an analytical solution. The first thing I did was to compute what is the necessary bending moment, ##M_b## to get the radius I need, ##R_k## by computing the integral in Mathematica.
Then, with ##M_b## I can also get the stress profile in the cross-section by using ##\sigma_b = \frac{M_b}{J}x##.
But then, what do I have to subtract from ##\sigma_b## to get the residual stress after unloading?
 
Ah! I had an enlightenment moment! (I think!)

What I calculated, ##M_b##, is in fact the bending moment accounting the springback effect, i.e., taking into account the release of the stored energy. This means that, ##\sigma_b## will give me the stress in the beam after unloading, right?
Therefore, the residual stress, ##\sigma_{Res}##, will be just the difference between ##\sigma_L## and ##\sigma_b##:
##\sigma_{Res}(x) = \sigma_L(x) - \sigma_b(x)##

I made a quick plot in Excel, and I think the results look good (at least compliant with the literature).

res_plots.jpg
 
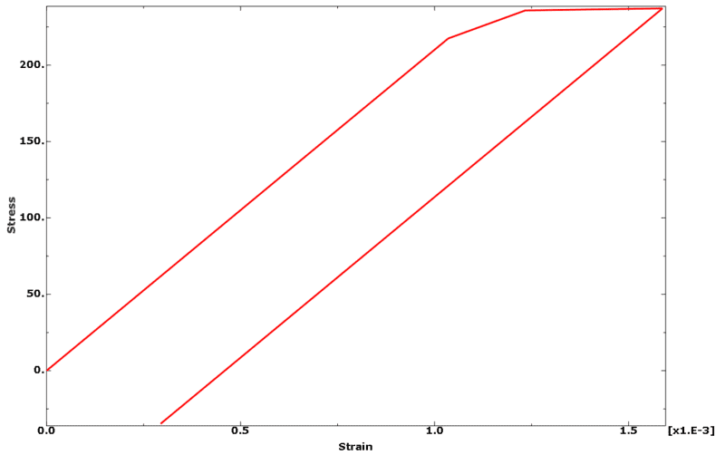
Here's an exemplary stress-strain curve obtained from FEA of a simply-supported rectangular beam subjected to uniformly distributed load (the material model was bilinear with hardening):

bending 2.PNG


As you can see, the unloading part is linear and parallel to the loading one. What's more, stress changes sign at the end of unloading.

I was referring to using FEA just to verify your analytical calculations.

Can you share the titles of books that you use for these calculations ? I'm also interested in similar topics and maybe I'll get to know new interesting literature.
 
@FEAnalyst : That's a strange loading diagram in that the stress rises instantaneously at zero strain. I don't know of any materials like that. I don't think I'd call it exemplary.

Also, there is nothing in FEA that can create a stress-strain curve, other than what the code writers built into the software.
 
@FEAnalyst I haven't used any particular book, I got this elasto-plastic formulation from browsing the web.

I started from simple assumptions, like a bilinear elasto-plastic stress-strain "curve" as the one I defined in the first post. Then, a simple linear hardening model to match it:

##\sigma(\varepsilon) = \begin{cases}
\varepsilon E \mbox{, if } \varepsilon \leq \varepsilon_y\\
S_y + (\varepsilon - \varepsilon_y)\cdot E_1 \mbox{, if } \varepsilon \gt \varepsilon_y
\end{cases}##

I have defined ##E_1## to be ##E_1 = 0.01 E##.

Then, I found somewhere a nice relationship (which should have been obvious) between the bending radius and the strain developed in the beam, allowing you to switch from the strain and define the stress in terms of the beam dimensions:

##\varepsilon_L(x) = \frac{x}{R_0}##

Which then results in the formulation I have also defined in the first post:

##\sigma_L(x) = \begin{cases}
\frac{x}{R_0} \cdot E \mbox{, if } x \leq \varepsilon_y \cdot R_0\\
\sigma_L(x) = S_y+(\frac{x}{R_0}-\varepsilon_y)\cdot E_1\mbox{, if } x \gt \varepsilon_y \cdot R_0
\end{cases}##

I have found the sprinback equation on the web, and then, using several other websites I managed to derive it myself as described in the attached PDF. Please, take this with a pinch of salt because it might have some errors on the wording and maybe also on the mathematical formulation I have defined there.

So, the springback equation is also in my first post:

##\frac{1}{R_0} - \frac{1}{R_r} = \frac{M_b}{EJ}##

Then, what I did was the following:
  1. Computed the required bending moment using the integral ##M_b=2\int_0^{h/2} \sigma_L(x) b(x) x dx##, to get my desired radius after springback, ##R_r##, and taking care of the different elastic and plastic regions;
  2. Computed the stress profile, ##\sigma_b(x)##, due to the bending moment ##M_b##, which in fact corresponds to the unloading stress (after springback) by simply doing: ##\sigma_b(x) = \frac{M_b}{J}x##;
  3. Using the loading curve defined by ##\sigma_L(x)##, I managed to create the stress profile for ##\sigma_L(x)##;
  4. The residual stress profile, ##\sigma_{Res}(x)## is then computed by doing ##\sigma_{Res}(x)= \sigma_L(x) - \sigma_b(x)##.
The hardest part was to calculate ##M_b## due to the strange geometry I have, which led to non-trivial integrals. But Mathematica helped me with them.

The stress profiles for ##\sigma_L(x)## and ##\sigma_b(x)## are in my previous post. But please be aware that they are not stress-strain curves! They are defined in terms of the beam cross-section geometry.

Hope this helps!
 

Attachments

Last edited:
Dr.D said:
That's a strange loading diagram in that the stress rises instantaneously at zero strain. I don't know of any materials like that. I don't think I'd call it exemplary.
Could you attach a simple sketch showing how this should look like ? Maybe something must be changed in the approach to this simulation. Load was ramped (uniformly increasing) in the first step of the analysis. Stress-strain curve was obtained by combining the total normal strain in the direction of beam axis with normal stress in the same direction. Both stress and strain were read from the bottom most layer of elements in the middle of the beam and averaged.

@freddie_mclair Thank you for sharing your results.
 
  • #10
Assuming no residual stress at the beginning, the stress-strain curve should pass through (0,0). There is no physical mechanism by which it can then jump to a positive stress value with no strain.
 
  • #11
Dr.D said:
Assuming no residual stress at the beginning, the stress-strain curve should pass through (0,0). There is no physical mechanism by which it can then jump to a positive stress value with no strain.

But it starts from (0,0):

00.JPG
 
  • #12
You are correct about it starting from (0,0); I failed to see that. I assumed that the horizontal axis line was at zero stress; that's the way I've always seen it plotted.

This raises the question, however, about what does it mean at the other end where the stress goes negative?
 
  • #13
I was also wondering why the stress changes sign at the end of unloading.

Here's what happens with normal stress in the middle part of the beam at each frame during unloading (contour plot is synchronized with stress-strain curve and the dark blue dot shows the current location on the curve):

frame 1.PNG


frame 2.PNG


frame 3.PNG


frame 4.PNG


frame 5.PNG


In the last two frames stress has different sign. Maybe those pictures will let you interpret the behavior of this model.

P.S. Unloading analysis step was realized in such a way that the load was removed gradually throughout this step allowing the beam to regain its shape (at least partially since there's also some permanent deformation).
 
  • Like
Likes   Reactions: PhDeezNutz
  • #14
the negative stress appears to be the residual stress after relaxation. Seems you are plotting not the middle of the bar (which would be right along the neutral axis) but perhaps the middle of the the lower surface; it's put in tension during the bending, would be in slight compression after unloading.

I'm curious as to how we are defining "residual stress on a beam" - peak?. I would suspect that the total residual stress state would be geometrically distributed and would want to find an equilibrium (obviously this isn't mathematically precise); there would be contributions from both tension and compression as seen above.
 
  • #15
onatirec said:
the negative stress appears to be the residual stress after relaxation. Seems you are plotting not the middle of the bar (which would be right along the neutral axis) but perhaps the middle of the the lower surface; it's put in tension during the bending, would be in slight compression after unloading.
Yes, I took the stresses from elements in the bottom most layer and averaged them. And when I was talking about the middle of the beam, I actually meant the middle between the supports (in the beam's longitudinal axis).
 
  • #16
FEAnalyst said:
...bottom most layer ... middle between the supports (in the beam's longitudinal axis).

that makes sense
 
  • #17
This diagram, from Metal Forming - Mechanics and Metallurgy by Hosford and Caddell, shows how to calculate residual stresses after plastic bending and force removal for a simple elastic-plastic material:
Springback.jpg

It is used in springs to reduce peak surface tensile stress under load. Search term preset (or presetting) springs to learn more.

A basic calculation in sheet metal forming is to calculate the amount of springback when bending sheet metal. The above diagram is for simple bending. The calculation is even more fun when calculating bending under tension for the purpose of reducing springback.
 
  • #18
FEAnalyst said:
I was also wondering why the stress changes sign at the end of unloading.

Here's what happens with normal stress in the middle part of the beam at each frame during unloading (contour plot is synchronized with stress-strain curve and the dark blue dot shows the current location on the curve):

View attachment 287860

View attachment 287861

View attachment 287862

View attachment 287863

View attachment 287864

In the last two frames stress has different sign. Maybe those pictures will let you interpret the behavior of this model.

P.S. Unloading analysis step was realized in such a way that the load was removed gradually throughout this step allowing the beam to regain its shape (at least partially since there's also some permanent deformation).
Thanks a lot for sharing this.
This is very interesting! Which software are you using?
 
  • #19
freddie_mclair said:
Thanks a lot for sharing this.
This is very interesting! Which software are you using?
I work in Abaqus. It's extremely powerful when it comes to nonlinear solid mechanics. Let me know if you would like to solve something with FEA, I will be glad to help you with that.
 
  • #20
Hi! Thanks a lot!
I think it could be very interesting if you could model with FEA what I have modeled analytically on my first post.

The cross-section geometry is the one I defined in my first post: it's a squared section with ##h=51.9\mbox{ mm}## and a circular hole with a radius of ##r=17.65\mbox{ mm}##. The bending radius (before springback) is ##R_0=4917.65\mbox{ mm}##; from my analytical model, after springback, I get a radius of ##R_k=11707.5mm##.

The peak stresses I get are the following: ##\sigma_{res1}=190\mbox{ MPa}## at the elastic-plastic core boundary and ##\sigma_{res2}=-140\mbox{ MPa}## at the outer surface of the beam. Here's the plot I get (I only plotted half of the beam, the other part is symmetric):

res-stress.jpg
 
Last edited:
  • #21
freddie_mclair said:
Hi! Thanks a lot!
I think it could be very interesting if you could model with FEA what I have modeled analytically on my first post.

The cross-section geometry is the one I defined in my first post: it's a squared section with ##h=51.9\mbox{ mm}## and a circular hole with a radius of ##r=17.65\mbox{ mm}##. The bending radius (before springback) is ##R_0=4917.65\mbox{ mm}##; from my analytical model, after springback, I get a radius of ##R_k=11707.5mm##.

The peak stresses I get are the following: ##\sigma_{res1}=190\mbox{ MPa}## at the elastic-plastic core boundary and ##\sigma_{res2}=-140\mbox{ MPa}## at the outer surface of the beam. Here's the plot I get (I only plotted half of the beam, the other part is symmetric):

View attachment 287995
Sorry, I forgot to mention the mechanical properties of the material (SS 306LN):
- Yield strength: ##S_y = 450\mbox{ MPa}##
- Young's modulus: ##E = 190\mbox{ GPa}##
- Tangent modulus: ##E_1 = 0.01\cdot E##
 
  • #22
To model this I would also need to know what are the boundary conditions (simply-supported beam ? cantilever ?), length of the beam and loading (type and magnitude).

And one more thing - ultimate tensile strength with elongation at failure, if you have it.

That should suffice.
 
Last edited:
  • #23
FEAnalyst said:
To model this I would also need to know what are the boundary conditions (simply-supported beam ? cantilever ?), length of the beam and loading (type and magnitude).

And one more thing - ultimate tensile strength with elongation at failure, if you have it.

That should suffice.
Hello!

Sorry for the delay on my reply!

I don't know the tensile strength and elongation at failure.

For the load, I'm not sure the best way to define it. My model is independent of the load. I was able to calculate the total bending moment by just considering the required bending radius. The total moment I get is:

##M_b=12 \mbox{ kN m}##.

But, I'm not sure how to translate this bending moment to a load... should we just consider a point load in the middle of the beam? If we do this, then the load would be ##P=4M_b/l##, where ##l## is the length.

Now, for the setup, I would use a simply supported beam. For the length, I don't know, mainly because my model is length-independent. I have only checked the cross-sectional stress distribution. I think a 1meter beam should be OK for simulating the results.

What do you think?

Thanks!
 
  • #24
Hello everyone,

I have finally modeled a bilinear elasto-plastic bending phenomena in ANSYS in order to cross-check my analytical calculation.
By applying the bending moment I defined in the post above on a straight beam, and taking also all the mechanical and geometric properties I have defined in the previous post, I can say that the FEM values match very well the theoretical ones!

From the analytical model, the residual stress profile across the cross-section of the beam is the following:

Analytical 1.jpg


From the ANSYS model, after applying the bending moment, the beam gets indeed bent, and after springback, I got the following shape and normal stress distribution in the zz direction:

Bending 3.png


The cross-sectional residual stress distribution (in the middle of the beam) is:

Bending 2.png


Then, finally, plotting the residual stress profile across a path of this cross-section I get:

Bending 4.jpg

Which matches very well with the first plot I have inserted here!

Also, the max stress before removing the bending moment, matches very well the calculation. I got ##\sigma_max = 457.8\mbox{ MPa}##, and from ANSYS, during the bending process we see that the max value is similar:

Bending 5.jpg
 
Last edited:
  • #25
Here are some images with the setup in ANSYS:

Material properties list:
mat.jpg


Overall setup of the beam with the bending moment of 12.314kNm applied on both ends:
Setup1.jpg


Fixed edge on one end:
Setup2.jpg


Fixed displacement in xx on the other edge:
Setup3.jpg
 

Attachments

  • Setup1.jpg
    Setup1.jpg
    16.4 KB · Views: 198
Last edited:
  • #26
freddie_mclair said:
Thanks guys for your reply, but I'm looking for an analytical solution. The first thing I did was to compute what is the necessary bending moment, ##M_b## to get the radius I need, ##R_k## by computing the integral in Mathematica.
Then, with ##M_b## I can also get the stress profile in the cross-section by using ##\sigma_b = \frac{M_b}{J}x##.
But then, what do I have to subtract from ##\sigma_b## to get the residual stress after unloading?
Hi,
I am running into the same problem. I have a steel tube or let's say 36" steel pipe (hollow inside) and trying to figure out the residual stress after bending the pipe to a radius of 1600 feet. Are there any ready-made equations for residual stress on this type of cross-section? I saw some equations in other literature for rectangular elasto plastic bending and residual stress. Any insights on which books, or references I can use? Thank you
 
  • #27
freddie_mclair said:
TL;DR Summary: After being a beam is bent, due to the springback effect, the resulting bent radius is larger than the bending radius. How can I estimate the residual stress that remains in the beam after an elasto-plastic loading/bending?

Hello everyone, I hope you can give me hand with what I will present.

I have a beam with cross-section shown below.

View attachment 287743
I considered a simple linear hardening model for predicting the stress and strain developed by bending the beam on the radius ##R_0## around the y-axis, where:

The strain, ##\varepsilon_L(x)##, can be defined as:
##\varepsilon_L(x) = \frac{x}{R_0}##

And the stress, ##\sigma_L(x)##, developed in the beam due to the loading by bending is:
##\sigma_L(x) = \begin{cases}
\frac{x}{R_0} \cdot E \mbox{, if } x \leq \varepsilon_y \cdot R_0\\
\sigma_L(x) = S_y+(\frac{x}{R_0}-\varepsilon_y)\cdot E_1\mbox{, if } x \gt \varepsilon_y \cdot R_0
\end{cases}##

Where and ##\varepsilon_y = \frac{S_y}{E}##, ##S_y## is the yield strength and ##E## the Young's Modulus.
##E_1## is the tangent modulus which is defined as shown in the picture below.

View attachment 287744

I also know that, due to the springback effect, the relationship between the bending radius ##R_0## and the resulting radius ##R_r## is given by:
##\frac{1}{R_0} - \frac{1}{R_r} = \frac{M_b}{EJ}##

Where ##M_b## is the bending moment and ##J## the moment of inertia (in this case ##J=\frac{h^4}{12}-\pi \frac{r^4}{4}##).

The bending moment can be estimated by:
##M_b=2\int_0^{h/2} \sigma_L(x) b(x) x dx##

Where ##b(x)\cdot x## is the cross-sectional area of the beam and ##b(x)## is defined by:
##b(x) = \begin{cases}
h-2\sqrt{r^2-x^2} \mbox{, if } x \leq r\\
h \mbox{, if } x \gt r
\end{cases}##

Now, with all this at hand, how can I estimate the residual stress on the beam after bending, i.e., after unloading the beam?

Thanks in advance!
Hi, I am trying to run calcs for residual stress on a 36" steel pipe bent to a tight radius. Where do I find the equations and concepts you have used above? Any book? Are there ready-to-use equations to calculate residual stress for a steel pipe (since the shape is pretty typical). Any info is highly appreciated.
 
  • #28
Pradip Kandel said:
Hi, I am trying to run calcs for residual stress on a 36" steel pipe bent to a tight radius. Where do I find the equations and concepts you have used above? Any book? Are there ready-to-use equations to calculate residual stress for a steel pipe (since the shape is pretty typical). Any info is highly appreciated.
Hi, try to use the same method I described above. You just need to adapt the cross-sectional geometry of your beam, i.e., redefine ##b(x)## for a pipe and, of course, the mechanical properties of the material. Then apply the steps I've defined in this post.
 
  • #29
Pradip Kandel said:
Hi, I am trying to run calcs for residual stress on a 36" steel pipe bent to a tight radius. Where do I find the equations and concepts you have used above? Any book? Are there ready-to-use equations to calculate residual stress for a steel pipe (since the shape is pretty typical). Any info is highly appreciated.
For a pipe, you can define ##b(x)=\sqrt{(R_o^2-R_i^2)-x^2}##, where ##R_o## is the outer radius and ##R_i## the inner radius.
 
  • #30
Thanks, I was confused because of the equations I was unfamiliar with and those functions for Sigma(Stress). Do you have any other worked-out examples pdf that I could follow? Can you suggest any other references please? That would be such a huge help.
 

Similar threads

  • · Replies 5 ·
Replies
5
Views
6K
Replies
5
Views
1K
  • · Replies 1 ·
Replies
1
Views
4K
  • · Replies 9 ·
Replies
9
Views
4K
  • · Replies 2 ·
Replies
2
Views
3K
Replies
7
Views
24K
  • · Replies 6 ·
Replies
6
Views
998
  • · Replies 4 ·
Replies
4
Views
6K
  • · Replies 3 ·
Replies
3
Views
7K
  • · Replies 2 ·
Replies
2
Views
2K