Calculate the velocity when 2 progressive waves are added together

Click For Summary

Homework Help Overview

The discussion revolves around calculating the velocity of a resultant wave formed by the superposition of two progressive waves. Participants are exploring the relationship between amplitude and wave velocity, as well as the implications of given information on the calculations.

Discussion Character

  • Exploratory, Assumption checking, Conceptual clarification

Approaches and Questions Raised

  • Participants discuss their attempts to calculate the velocity, with some considering whether to focus on maximum velocity or the velocity of the wave itself. Questions arise about the relevance of provided information and how it impacts their calculations.

Discussion Status

There is an ongoing exploration of different interpretations of the problem, with some participants recognizing their misunderstandings regarding the definitions of wave velocity versus point velocity. Guidance has been offered regarding the distinction between these concepts, but no consensus has been reached.

Contextual Notes

Participants note confusion stemming from additional information provided in the problem that may not be directly applicable to the calculations, highlighting the challenge of discerning relevant data.

Bolter
Messages
262
Reaction score
31
Homework Statement
Finding the resultant velocity of when 2 waves are added together
Relevant Equations
See below
So here is my problem

Screenshot 2020-03-06 at 12.06.40.png


I have had a go at this and get an answer of 8.34cm to be my final amplitude

Screenshot 2020-03-06 at 12.07.46.png

IMG_4039.JPG


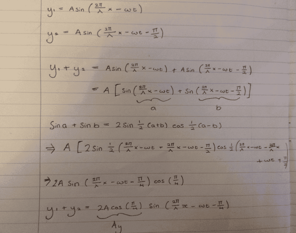
The next part that I have been given is to calculate the velocity of when 2 waves are added together. I'm not so sure how to go about this, this is what I have tried anyway

Screenshot 2020-03-06 at 12.06.48.png


IMG_4040.JPG


Can someone please help on how to do work out the velocity of the resultant wave?

Thanks!
 
Physics news on Phys.org
Could I just work out the velocity of the wave produced from doing this?

IMG_0782.JPG


I'm really confused here
 
So I have thought about this question again, and I'm thinking that they are asking for the maximum velocity here of the wave that gets produced, since I cannot work out the velocity at any given time of the wave as I am not given a time value or the horizontal displacement x

So would this be an appropriate thing to do?

IMG_4043.JPG
 
If a speed of 1.23 m/s is correct? Would it be best to include the negative sign as it asks for the velocity so I shouldn't be taking the absolute value of that then
 
Your post #2 looks right.
In post #3 you have calculated the max velocity at which a point on the wave rises. That is not the velocity of the wave.
 
haruspex said:
Your post #2 looks right.
In post #3 you have calculated the max velocity at which a point on the wave rises. That is not the velocity of the wave.

Ok thank you, I was a bit overwhelmed by this question as they had given extra info that wasn't used in the calculation so I ought to think I was doing something wrong. I see my error here now. Thanks again!
 
Bolter said:
they had given extra info that wasn't used in the calculation
That ought to be a more common practice. It is what happens in the real world. Deciding what information is relevant is the first challenge.
 
  • Like
Likes   Reactions: Bolter

Similar threads

  • · Replies 3 ·
Replies
3
Views
2K
  • · Replies 9 ·
Replies
9
Views
2K
  • · Replies 2 ·
Replies
2
Views
1K
  • · Replies 6 ·
Replies
6
Views
2K
  • · Replies 5 ·
Replies
5
Views
2K
  • · Replies 29 ·
Replies
29
Views
2K
  • · Replies 4 ·
Replies
4
Views
2K
  • · Replies 19 ·
Replies
19
Views
1K
  • · Replies 4 ·
Replies
4
Views
1K
  • · Replies 5 ·
Replies
5
Views
5K