Calculating the value of 1/{D^2+a^2} sin ax

  • Thread starter Thread starter vish_maths
  • Start date Start date
  • Tags Tags
    Sin Value
Click For Summary

Homework Help Overview

The discussion revolves around calculating the value of the expression \( \frac{1}{D^2+a^2} \sin ax \) within the context of differential equations, particularly focusing on methods for solving second-order differential equations.

Discussion Character

  • Mixed

Approaches and Questions Raised

  • Participants explore different methods for solving a differential equation, with some questioning the validity of certain relations and equations presented. There is an attempt to reconcile differing results from two methods, with references to polynomial functions and their properties.

Discussion Status

The discussion is ongoing, with participants providing insights and questioning assumptions. Some guidance has been offered regarding the nature of solutions to the differential equation, and there is recognition of the existence of multiple solutions. However, there is no explicit consensus on the correctness of the methods used.

Contextual Notes

Participants note discrepancies in results from different methods and express uncertainty about the correctness of their approaches. The original poster indicates reliance on a textbook method, which adds a layer of complexity to the discussion.

vish_maths
Messages
60
Reaction score
1
Homework Statement
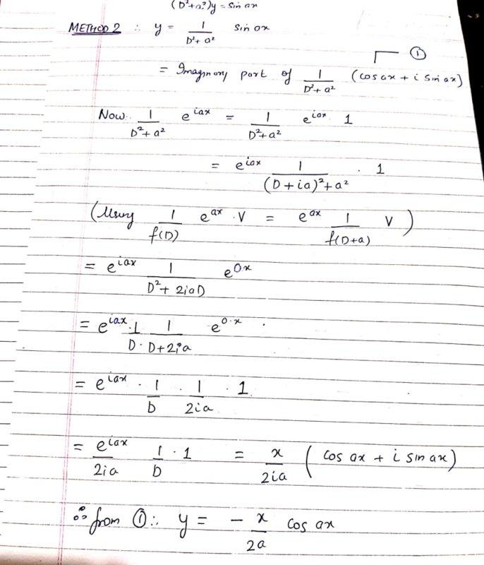
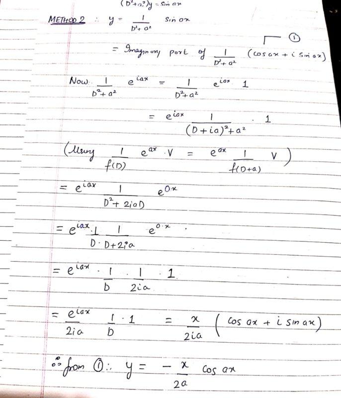
I have tried calculating using two different methods and both of them yield different results. Could someone please pinpoint any error in Method 1 which I might be making. **My textbook uses method 2.** Thanks a lot for your help
Relevant Equations
1/(D-b) e^(bx) = x e^(bx)
WhatsApp Image 2020-02-03 at 4.58.15 PM.jpeg
WhatsApp Image 2020-02-03 at 4.58.15 PM (1).jpeg
 
Physics news on Phys.org
\frac{1}{D+ia}e^{iax}=\frac{D-ia}{D^2+a^2}e^{iax}=0
 
Thanks for the reply. But, Don't we have the relation $$\dfrac {1}{f(D)}e^{cx} = \dfrac{1}{f(c)} e^{cx},~f(c) \ne 0$$
 
(D+c)e^{cx}=2ce^{cx}
I do not think your equation holds.
 
mitochan said:
(D+c)e^{cx}=2ce^{cx}
I do not think your equation holds.

Sorry I meant Don't we have the relation $$\dfrac {1}{f(D)}e^{cx} = \dfrac{1}{f(c)} e^{cx},~f(c) \ne 0$$
 
  • Like
Likes   Reactions: mitochan
De^{cx}=ce^{cx}
D^ne^{cx}=c^ne^{cx}
So
f(D)e^{cx}=f(c)e^{cx}
where polynomial f(x)
f(x)=\sum a_n x^n

So I find my previous comments wrong.

(D^2+a^2)y=0 is a equation of harmnic oscillation so it has a general solution
y=A \sin ax + B \cos ax
which can be added to the solution of your method II.
 
Last edited:
vish_maths said:
Homework Statement:: I have tried calculating using two different methods and both of them yield different results. Could someone please pinpoint any error in Method 1 which I might be making. **My textbook uses method 2.** Thanks a lot for your help
Relevant Equations:: 1/(D-b) e^(bx) = x e^(bx)

View attachment 256543View attachment 256544
Why do you think you've done anything wrong? Have you checked your answer?

I must admit I'm not familiar with this technique, but you have picked up an additional solution to the homogeneous equation.

Given this is a second-order DE, there ought to be two linearly independent solutions.

You have them both; the book method finds only one.
 
  • Like
Likes   Reactions: mitochan

Similar threads

Replies
11
Views
2K
Replies
5
Views
2K
  • · Replies 1 ·
Replies
1
Views
1K
  • · Replies 5 ·
Replies
5
Views
3K
  • · Replies 5 ·
Replies
5
Views
1K
  • · Replies 6 ·
Replies
6
Views
2K
  • · Replies 5 ·
Replies
5
Views
3K
Replies
7
Views
3K
  • · Replies 5 ·
Replies
5
Views
2K