Fourier Transform - Solutions Error?

Click For Summary

Homework Help Overview

The discussion revolves around the Fourier transform of a quantum function, specifically addressing discrepancies between the participant's calculations and the results presented in a textbook. The subject area includes quantum mechanics and mathematical techniques related to Fourier transforms.

Discussion Character

  • Exploratory, Assumption checking, Conceptual clarification

Approaches and Questions Raised

  • The original poster attempts to compute the Fourier transform using integration techniques and software assistance, while others raise questions about the validity of the results and the implications of certain mathematical behaviors, such as divergence and dimensional analysis.

Discussion Status

Participants are actively exploring the differences between the computed results and the textbook answer, with some suggesting that the absence of a normalization constant may not significantly impact the overall reasoning. There is an ongoing examination of the implications of the mathematical expressions and their physical interpretations.

Contextual Notes

There are indications of potential errors in the textbook, as well as discussions about the physical dimensions of the wave function and the relevance of normalization constants in the context of the problem.

flyusx
Messages
69
Reaction score
12
Homework Statement
Calculate the Fourier series of $$\phi(k)=\sqrt{\frac{3}{2a^3}}(a-\vert k\vert)$$ for ##\vert k\vert\leq a##, where ##\phi(k)=0## elsewhere.
Relevant Equations
$$\mathcal{F}=\frac{1}{\sqrt{2\pi}}\int_{-\infty}^{\infty}\phi(k)\exp(ikx)\;dk$$
This is technically a Fourier transform of a quantum function, but the problem I'm having is solely mathematical.
Conducting this integral is relatively straightforward. We can pull the square roots out since they are constants, rewrite the bounds of the integral to be from ##-a## to ##a## (since the function is zero outside this bound), split the integral into two parts to get rid of the absolute value of ##k## and do integration by parts. Prior to integration by parts, the Fourier transform becomes
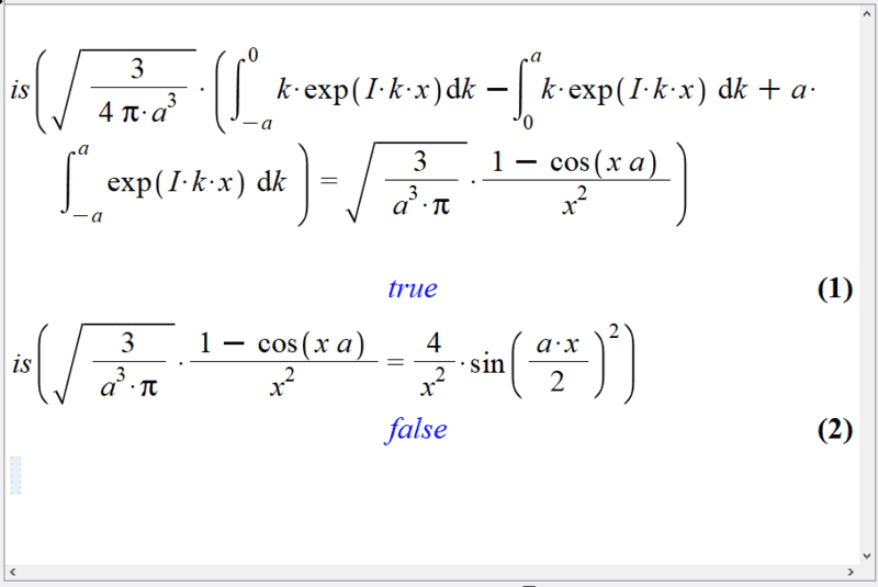
$$\sqrt{\frac{3}{4\pi a^{3}}}\left(\int_{-a}^{0} k\exp(ikx)\;dk-\int_{0}^{a}k\exp(ikx)\;dk+a\int_{-a}^{a}\exp(ikx)\;dk\right)$$
I did integration by parts by hand and used Maple to convert the exponentials into trig. The Fourier transform simplifies into $$\sqrt{\frac{12}{\pi a^{3}}}\frac{1}{x^{2}}\sin^{2}\left(\frac{ax}{2}\right)$$.
However, the book (Zettili Quantum Mechanics, Problem 1.11a on page 75 of the 3rd edition, probably present in previous editions) says the Fourier transform is equal to $$\frac{4}{x^{2}}\sin^{2}\left(\frac{ax}{2}\right)$$. Seeing as Maple confirms my Fourier transform to be correct, I know I didn't make an error so is this an error in the book?
 

Attachments

  • Fourier.PNG
    Fourier.PNG
    32.2 KB · Views: 103
Physics news on Phys.org
For a<0 your solution gives pure imaginary. It diverges for a ##\rightarrow## 0, not zero. Is it OK?
 
Last edited:
I'm not quite sure what happened to the question formatting or my answer. I must have copy/pasted the wrong thing. My apologies.

The correct problem statement should be to find the Fourier transform of
$$\sqrt{\frac{3}{2a^{3}}}(a-\vert k\vert), \vert k\vert\leq a$$

I've uploaded a corrected version for which Maple confirms my answer of $$\sqrt{\frac{3}{\pi a^{3}}}\frac{1-\cos(ax)}{x^{2}}$$ is valid. It also states that the answer is the book $$\frac{4}{x^{2}}\sin\left(\frac{ax}{2}\right)^{2}$$ is wrong.
 

Attachments

  • FourierCorrected.PNG
    FourierCorrected.PNG
    17.8 KB · Views: 119
Last edited:
Can you post a scan of the page from your Zettili book reference so that we can read the actual problem as stated?
 
I found the problem in my copy of the second edition of Zittili. It looks like they dropped the constant factor in front, but doing so doesn't affect the reasoning in the rest of the solution. The book just wanted to show you that the unnormalized wave function is of the form
$$\phi(x) = a^2 \left(\frac{\sin u}{u}\right)^2$$ where ##u=ax/2##. An overall constant factor doesn't affect ##\Delta x##, so the absence of the normalization constant doesn't really matter.
 
Last edited:
  • Like
Likes   Reactions: anuttarasammyak, BvU and renormalize
vela said:
The book just wanted to show you that the unnormalized wave function is of the form
ϕ(x)=a2(sin⁡uu)2 where u=ax/2. An overall constant factor doesn't affect Δx, so the absence of the normalization constant doesn't really matter.
In this setting ##\phi(x)## seems to have physical dimension of L^-2 though 1D wave function has that of L^-1/2 normally. It does not matter neither ? If the coefficient were ##\sqrt{a}##, it would be OK , though I have no idea whether there exist other physical constants given in the problem.
 
Last edited:

Similar threads

Replies
1
Views
3K
  • · Replies 6 ·
Replies
6
Views
4K
Replies
5
Views
2K
Replies
5
Views
2K
  • · Replies 3 ·
Replies
3
Views
2K
  • · Replies 3 ·
Replies
3
Views
2K
Replies
8
Views
2K
  • · Replies 16 ·
Replies
16
Views
2K
  • · Replies 14 ·
Replies
14
Views
3K
  • · Replies 2 ·
Replies
2
Views
2K