Calculating total charge when the electric field is given

Click For Summary

Homework Help Overview

The discussion revolves around calculating total charge from a given electric field using Gauss' law. Participants are exploring the implications of their calculations and the behavior of electric fields in relation to point charges.

Discussion Character

  • Conceptual clarification, Assumption checking, Mathematical reasoning

Approaches and Questions Raised

  • Participants discuss different approaches to applying Gauss' law, including the use of divergence and the implications of the electric field's behavior at large distances. Questions arise regarding discrepancies in results and the significance of contributions from point charges.

Discussion Status

The discussion is active, with participants providing insights and questioning assumptions about the calculations. Some guidance has been offered regarding the validity of methods at specific points and the implications of the electric field's behavior.

Contextual Notes

There are indications of missing information regarding the presence of a charge at the origin and how to account for it in calculations. Participants are also considering the effects of the exponential term in the electric field's behavior as distance increases.

Saptarshi Sarkar
Messages
98
Reaction score
13
Homework Statement
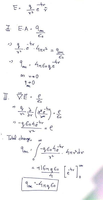
Calculate the total charge of an unknown charge distribution for which the electric field is E=q/r^2 e^(-4r) r ̂
Relevant Equations
E.A = q/ε0
∇·E = ρ/ε0
I first tried to use the Gauss' law equation E.A = q/ε0 to find the total charge enclosed. The answer came out to be q(enclosed) = 4πqε0e^(-4r). So for r approaching infinity, q(enclosed) approached 0.

Next, I tried the equation ∇·E = ρ/ε0, calculated rho to be -4qε0e^(-4r)/r^2 and total charge to be -4πqε0.

Why are the answers different although both are derived from Gauss' law? What did I do wrong?
 

Attachments

  • New Doc 2019-12-12 16.39.17.jpg
    New Doc 2019-12-12 16.39.17.jpg
    21.9 KB · Views: 301
Physics news on Phys.org
Your computation for the divergence of the electric field is only valid for ##r > 0##. This means that you will miss the contribution from the point charge at the origin.
 
  • Like
Likes   Reactions: Saptarshi Sarkar
Another thing you might think about is how the given electric field behaves as ##r## gets really big. Compare this to what the field of any point charge, ##q_o##, behaves for large ##r##. What does ##q_o## have to equal so that these distant fields are the same.
 
  • Like
Likes   Reactions: Saptarshi Sarkar
Paul Colby said:
Another thing you might think about is how the given electric field behaves as ##r## gets really big. Compare this to what the field of any point charge, ##q_o##, behaves for large ##r##. What does ##q_o## have to equal so that these distant fields are the same.

For both the cases, the electric field approaches 0 as r approaches large numbers. Only conclusion I can draw from this is that the given electric field falls to 0 faster due to the exponential term.
 
  • Like
Likes   Reactions: Paul Colby
Orodruin said:
Your computation for the divergence of the electric field is only valid for ##r > 0##. This means that you will miss the contribution from the point charge at the origin.

I am not sure I am able to understand. How do I know that there is a charge at the centre and how should I calculate it?
 
If you compute the divergence with a method valid at ##r = 0##, you will find that, apart from your result, there is a delta function at the origin.

Alternatively, you can check this by taking the flux through a sphere with ##r \to 0##, which will yield a non-zero result, indicating that there is a point charge at the origin.
 
  • Like
Likes   Reactions: Saptarshi Sarkar
Yes.
 
  • Like
Likes   Reactions: Saptarshi Sarkar

Similar threads

Replies
23
Views
5K
  • · Replies 11 ·
Replies
11
Views
2K
  • · Replies 22 ·
Replies
22
Views
3K
  • · Replies 2 ·
Replies
2
Views
2K
  • · Replies 2 ·
Replies
2
Views
2K
  • · Replies 2 ·
Replies
2
Views
3K
Replies
9
Views
2K
Replies
6
Views
2K
Replies
9
Views
2K