Can Air Affect a Double Slit Experiment?

Click For Summary

Homework Help Overview

The discussion revolves around the effects of air on the double slit experiment, particularly how the removal of air from one box influences the fringe pattern observed on the screen. Participants explore the implications of the index of refraction of air and its impact on optical paths in the experiment.

Discussion Character

  • Exploratory, Conceptual clarification, Assumption checking

Approaches and Questions Raised

  • Participants discuss the shifting fringe pattern as air is removed and question how the optical path length varies with the number of maxima. Some express confusion over the implications of the index of refraction and its relevance to the observed results.

Discussion Status

There is an ongoing exploration of the problem with various interpretations being considered. Some participants have offered insights into the complexities of the optical paths involved, while others have clarified their understanding of the problem's requirements. No explicit consensus has been reached.

Contextual Notes

Participants note that the problem is constrained to measuring maxima at a fixed spot on the screen as air is removed, which may influence the analysis of optical paths. There is also mention of potential discrepancies in expected values of the index of refraction.

unscientific
Messages
1,728
Reaction score
13

Homework Statement


2a7sw88.png

Homework Equations


The Attempt at a Solution



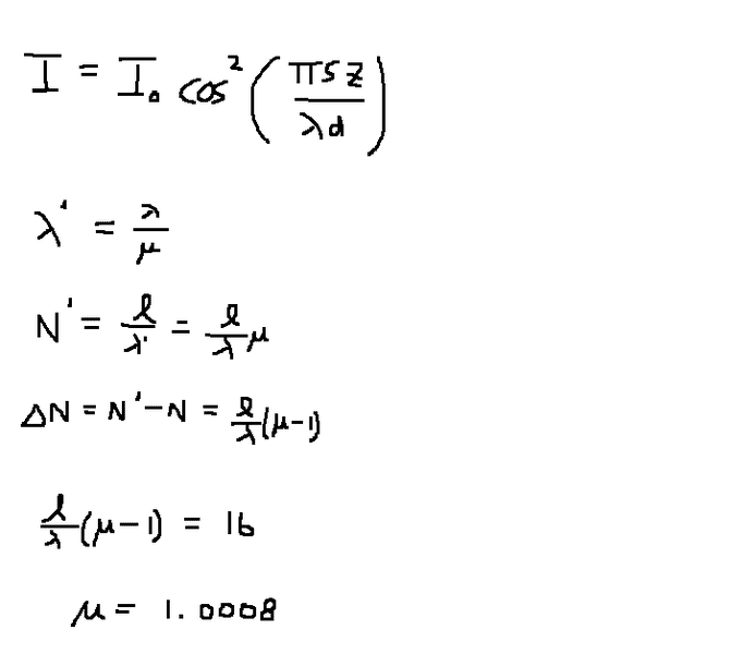
As air is gradually removed from one box, the fringe pattern shifts towards that box. Hence total number of maximas that pass through the central is calculated.

vdcn5l.png


However, according to http://hyperphysics.phy-astr.gsu.edu/hbase/tables/indrf.html the index of refraction of air is 1.0003
 
Physics news on Phys.org
This looks like a difficult problem since the optical path for the box with air varies with the number of the maximum. For the 16th maximum there should be no effect of the boxes (delta optical path = 0, angle close to 90 deg.) wheras for the first few the optical path thru the air-filled box varies appreciably from maximum to maximum. This would seem to hold even if d >> s, l.
 
rude man said:
This looks like a difficult problem since the optical path for the box with air varies with the number of the maximum. For the 16th maximum there should be no effect of the boxes (delta optical path = 0, angle close to 90 deg.) wheras for the first few the optical path thru the air-filled box varies appreciably from maximum to maximum. This would seem to hold even if d >> s, l.

Hmmm, any ideas on how to solve this then?
 
I think your analysis that leads to 1.0008 is correct, even though the answer does not correspond to the known value of the index of refraction of air at 1 atm.

I'm not following rude man's comments. The problem states that we are only looking at one spot on the screen (z = 0) and measuring the number of maxima that occur at that fixed spot as air is removed from one of the boxes.
 
I would assume the addition of a converging lens as is done in deriving the baic min-max pattern (fringes). Then, the delta distance between the top & bottom slits, which is basically d sin θ, has to be modified (increased) by the increase in optical path length thru the bottom box. This is primarily an analytic geometry problem, since each bottom ray forming another max. will pass thru different sections of the box. If that delta distance were the same for all rays forming maxima then it would be easy; but that's not the case.

So instead of winding up with d sin θ = mλ you will have d sin θ + Δop = mλ where Δop = delta optical path for the lower rays & will be different for each ray forming a max.

Δop = x(n-1.00000) and x is the physical path length of a bottom ray inside the lower cube. Unfortunately, x = x(θ). For the near-central max, θ ~ 0 and x ~ l, the length of a side of the box. For the outermost maxima, θ ~ +/-90 deg and x ~ 0.

Like I said - difficult analyt geometry problem.
 
TSny said:
I think your analysis that leads to 1.0008 is correct, even though the answer does not correspond to the known value of the index of refraction of air at 1 atm.

I'm not following rude man's comments. The problem states that we are only looking at one spot on the screen (z = 0) and measuring the number of maxima that occur at that fixed spot as air is removed from one of the boxes.

I agree, I misinterpreted the problem. So it's far easier than I thought. Thanks for cluing me in, T.

EDIT: P.S. I also got 1.0008 = 16λ/l - 1.

PPS Well, maybe the experiment was performed in one of our smoggier areas ... :smile:
 
Last edited:
rude man said:
PPS Well, maybe the experiment was performed in one of our smoggier areas ... :smile:

:biggrin:
 

Similar threads

  • · Replies 3 ·
Replies
3
Views
971
  • · Replies 34 ·
2
Replies
34
Views
4K
  • · Replies 2 ·
Replies
2
Views
1K
Replies
1
Views
4K
Replies
3
Views
6K
  • · Replies 3 ·
Replies
3
Views
3K
  • · Replies 11 ·
Replies
11
Views
4K
  • · Replies 9 ·
Replies
9
Views
2K
  • · Replies 24 ·
Replies
24
Views
4K
  • · Replies 3 ·
Replies
3
Views
2K