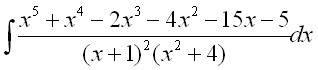
Can anyone kindly show me the steps to solve this question?

  • Thread starter Thread starter executioner_c
  • Start date Start date
Click For Summary

Discussion Overview

The discussion revolves around solving a complex integral, with participants sharing various methods and approaches for integration. The scope includes mathematical reasoning and techniques commonly found in calculus, particularly focusing on integration methods.

Discussion Character

  • Homework-related, Mathematical reasoning, Technical explanation

Main Points Raised

  • One participant suggests starting with long division and considering partial fractions or trigonometric substitution if applicable.
  • Another participant mentions the complexity of the integral and references the Wolfram Integrator for assistance.
  • Some participants assert that standard textbook methods are sufficient for solving the integral.
  • A participant proposes checking for roots of the polynomial in the numerator to simplify the integral further, suggesting long division and integration of simpler components.
  • One participant confirms that the integrand can be expressed in a form suitable for partial fraction decomposition after performing long division.
  • A later reply indicates that they have found the solution, thanking others for their input.

Areas of Agreement / Disagreement

Participants generally agree on the use of long division and standard methods for integration, but there is no consensus on the specific steps or approaches to take. The discussion includes multiple viewpoints on how to tackle the integral.

Contextual Notes

Some methods mentioned depend on the assumption that the polynomial can be simplified through division or that certain roots exist, which may not be universally applicable.

Who May Find This Useful

Students or individuals seeking assistance with integration techniques, particularly those dealing with complex integrals in calculus.

executioner_c
Messages
2
Reaction score
0
integration.jpg
 
Physics news on Phys.org
i would start with long division & see what i get. if it turned out to be something that partial fractions would work on i'd do that, or trig substitution etc etc. there's a forum just for homework problems where this thread really belongs. :wink:
 
That's one nasty integral - the Wolfram Integrator gives:

http://img316.imageshack.us/img316/4803/2359mo8.gif

 
Last edited by a moderator:
there's a lot there but you still only need standard textbook methods to integrate it.
 
fourier jr said:
there's a lot there but you still only need standard textbook methods to integrate it.
Care to show us the way... :-p
 
I'd start by trying to see if either -1 or -4 is a root of the top. That would help you lowert the power of that monstruosity. I doubt it is a non-reductible quintic that you got to integrate...if not, long division, get a rational expression plus a bunch of constant/linear/quadratic parts and integrate it each piece at a time.

If I recall,

[tex]\int{(a+b)}=\int{a}+\int{b}[/tex]

So all components after the division should be very simple to integrate except the fraction if there is one...and that shouldn't be too bad neither.
 
Last edited:
As fourierjr said at the beginning: go ahead and do the division. That integrand is equal to
[tex]x-1- \frac{6x^3+ 6x^2+ 11x+ 1}{(x+1)^2(x^2+ 4)}[/tex]
You can use partial fractions to integrate that fraction.
 
I've just got the solution.Thanks a lot!
 

Similar threads

  • · Replies 6 ·
Replies
6
Views
2K
Replies
3
Views
1K
  • · Replies 3 ·
Replies
3
Views
4K
  • · Replies 3 ·
Replies
3
Views
2K
Replies
9
Views
2K
  • · Replies 20 ·
Replies
20
Views
3K
  • · Replies 8 ·
Replies
8
Views
2K
  • · Replies 1 ·
Replies
1
Views
1K
  • · Replies 3 ·
Replies
3
Views
4K
  • · Replies 6 ·
Replies
6
Views
2K