Can Rationalizing the Denominator Solve a Stuck Homogeneous Equation?

Click For Summary
SUMMARY

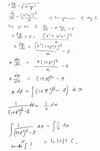
The discussion centers on solving a homogeneous ordinary differential equation (ODE) by rationalizing the denominator. A user encountered difficulties during integration and received advice that rationalizing the denominator could facilitate the solution process. This technique is confirmed as a valid approach to simplify complex expressions in ODEs, thereby aiding in the integration process.

PREREQUISITES
  • Understanding of ordinary differential equations (ODEs)
  • Familiarity with integration techniques
  • Knowledge of rationalizing denominators in algebra
  • Basic mathematical problem-solving skills
NEXT STEPS
  • Study techniques for solving homogeneous ordinary differential equations
  • Learn about integration methods for complex expressions
  • Explore the concept of rationalizing denominators in greater detail
  • Practice solving ODEs with various integration challenges
USEFUL FOR

Students and professionals in mathematics, particularly those focusing on differential equations, as well as educators seeking effective teaching strategies for ODE integration techniques.

Joe20
Messages
53
Reaction score
1
Hi, I have solved this ODE till half way and got stucked on the integration of some weird expression. Need help for this.
Thank you!
 

Attachments

  • 1.png
    1.png
    12 KB · Views: 152
Physics news on Phys.org
Hi Alexis87,

Rationalizing the denominator should help.
 

Similar threads

  • · Replies 10 ·
Replies
10
Views
5K
  • · Replies 36 ·
2
Replies
36
Views
6K
  • · Replies 1 ·
Replies
1
Views
2K
  • · Replies 4 ·
Replies
4
Views
3K
  • · Replies 4 ·
Replies
4
Views
2K
  • · Replies 3 ·
Replies
3
Views
4K
  • · Replies 4 ·
Replies
4
Views
4K
  • · Replies 2 ·
Replies
2
Views
3K
  • · Replies 3 ·
Replies
3
Views
3K
  • · Replies 3 ·
Replies
3
Views
2K