Can someone explain this can't understand notation

  • Context: Graduate 
  • Thread starter Thread starter carrotstien
  • Start date Start date
  • Tags Tags
    Explain Notation
Click For Summary
SUMMARY

The discussion focuses on the notation used in the equation for the rotation of a rigid body in three dimensions. Key components include the moment of inertia tensor (I), angular velocity vector (ω), and the vector from the origin O to the body's center of mass (bG/O). The user expresses confusion regarding specific terms such as b and G, and references an article for further clarification. The relationship between torque and angular momentum is also highlighted, emphasizing that the sum of torques is not simply d/dt(L) = d/dt(Iω).

PREREQUISITES
  • Understanding of rigid body dynamics
  • Familiarity with angular momentum concepts
  • Knowledge of vector notation in physics
  • Basic principles of rotational motion
NEXT STEPS
  • Study the moment of inertia tensor in detail
  • Learn about angular velocity and its components
  • Explore the relationship between torque and angular momentum
  • Review rigid body dynamics through academic resources or textbooks
USEFUL FOR

Physics students, mechanical engineers, and anyone studying rotational dynamics will benefit from this discussion.

carrotstien
Messages
28
Reaction score
0
from wikipedia for
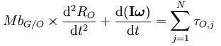
"The most general equation for rotation of a rigid body in three dimensions about an arbitrary origin O with axes x, y, z is"...
13zad5d.jpg



i thought that the sum of the torques on a system is just equal to d/dt(L)=d/dt(Iw)...apparently not - but i can't understand the notation like, what is b, G..etc
 
Physics news on Phys.org
This article explains it better:
http://www.statemaster.com/encyclopedia/Rigid-body-dynamics

I is the moment of inertia tensor
ω is the angular velocity (a vector)
ωq is the angular velocity about axis q.
M is the total mass.
bG/O is the vector from O to the body's center of mass.
RO is the position of O.
t is time.
τO,j is one of the N moments about O.
 

Similar threads

  • · Replies 2 ·
Replies
2
Views
2K
  • · Replies 34 ·
2
Replies
34
Views
7K
  • · Replies 3 ·
Replies
3
Views
2K
  • · Replies 1 ·
Replies
1
Views
2K
  • · Replies 8 ·
Replies
8
Views
2K
  • · Replies 3 ·
Replies
3
Views
3K
  • · Replies 8 ·
Replies
8
Views
2K
  • · Replies 1 ·
Replies
1
Views
2K
  • · Replies 1 ·
Replies
1
Views
2K