Heexit
- 10
- 3
- Homework Statement
- A homogeneous body is formed by rotating the surfaces in the image around the x-axis (see picture). Determine the location of the center of gravity.
- Relevant Equations
- N/A
Hello Physicsforum!
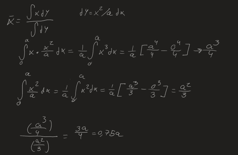
My solution (sorry for not writing it in LaTeX, I don't feel it's necessary since this try was more of a shot in the dark):
The answear should be (5/6)*a
Had no idea of how to go about solving this, so tried using the followin equaiton (I have no idea what W stands for in this case, but it can be switched out for mass/volume/area):
Any suggestions about what could have gone wrong alternatively what I should do instead would be appreciated!
Thanks on beforehand
My solution (sorry for not writing it in LaTeX, I don't feel it's necessary since this try was more of a shot in the dark):
The answear should be (5/6)*a
Had no idea of how to go about solving this, so tried using the followin equaiton (I have no idea what W stands for in this case, but it can be switched out for mass/volume/area):
Any suggestions about what could have gone wrong alternatively what I should do instead would be appreciated!
Thanks on beforehand