Charged sphere and charged conducting shell

Click For Summary

Homework Help Overview

The problem involves a charged non-conducting sphere placed within a spherical conducting shell, with specific charges and dimensions provided. Participants are discussing the distribution of charges on the shell's surfaces, the electric field in various regions, and the electrostatic potential at different points in the system.

Discussion Character

  • Exploratory, Conceptual clarification, Assumption checking

Approaches and Questions Raised

  • Participants are analyzing the charge distribution on the inner and outer surfaces of the conducting shell, questioning the reasoning behind the induced charges due to the presence of the non-conducting sphere.
  • Some participants suggest using Gaussian surfaces to reason about the electric field and charge distributions, while others seek clarification on the integration of the electric field for potential calculations.
  • There is a discussion about the convention for setting the zero potential, with some participants emphasizing the importance of defining this reference point.

Discussion Status

The discussion is ongoing, with participants providing guidance on the reasoning for charge distribution and potential calculations. There are multiple interpretations being explored, particularly regarding the integration of the electric field and the implications of the zero potential reference point.

Contextual Notes

Participants are navigating the implications of the problem's constraints, such as the specific charge values and the geometry of the system. There is a noted confusion regarding the interpretation of charge values and their effects on the overall analysis.

pedro97

Homework Statement


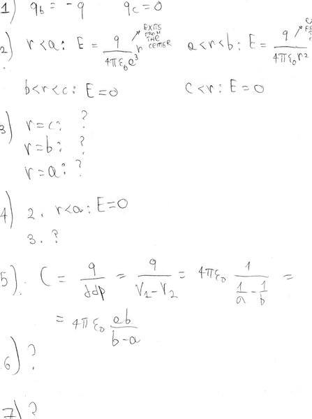
A + q = 5 pC charge is uniformly distributed on a non-conducting sphere of radius a= 5 cm , which is placed in the center of a spherical conducting shell of inner radius b = 10 cm and outer radius c = 12 cm. The outer conducting shell is charged with a -q charge. Determine:
1) the charges on the inner and outer surfaces of the shell;
2) the electric field (module, direction) everywhere;
3) the electrostatic potential on the external surface of the conducting shell (r = c), on the internal surface of the shell (r = b) and on the outer surface of the internal sphere of radius a (r = a).
Suppose now to replace the inner sphere with a spherical conductor of radius a charged with the same + q charge:
4) Which of the previous answers will change and how?
5) Determine the potential everywhere;
6) Determine the capacitance of the spherical capacitor formed from the internal conducting sphere of radius a and the outer conducting shell;
7) If a proton (m = 1.67·10-27 Kg) starts from rest from the spherical conductor of radius a, which will be its speed when it hit the inner surface of the outer spherical shell?

Homework Equations


/

The Attempt at a Solution



img043.jpg


So, I would like to know if my attempt to solve the problem is correct, and how can I continue it in the parts I didn't manage to solve...
Thank you!
 
Physics news on Phys.org
pedro97 said:
I would like to know if my attempt to solve the problem is correct,
No.
Please explain how you arrived at your answer to 1)
 
For the first point my reasoning is: since on the inner sphere we have a + q charge, because of the induction phenomenon, the inner surface of the outer shell has to "balance" that charge, and thus has a charge -q. Since the problem statement tells us that -q is the total shell charge, we know that there is no charge on its outer surface...
 
Seems to me his answer to (1) is correct.
Placing gaussian sphere at b < r < c forces qb = -q.
Placing gaussian sphere at r > c forces qc = 0.
 
  • Like
Likes   Reactions: SammyS
pedro97 said:
3) the electrostatic potential on the external surface of the conducting shell (r = c), on the internal surface of the shell (r = b) and on the outer surface of the internal sphere of radius a (r = a).
You can just integrate the E field using your data from (2).
 
pedro97 said:
For the first point my reasoning is: since on the inner sphere we have a + q charge, because of the induction phenomenon, the inner surface of the outer shell has to "balance" that charge, and thus has a charge -q. Since the problem statement tells us that -q is the total shell charge, we know that there is no charge on its outer surface...
My mistake - I read it as +5q instead of +q = 5pC.

I don't understand your attempt at 5). Looks more like an attempt at 6).
 
Last edited:
rude man said:
You can just integrate the E field using your data from (2).
Yes, but we're not told where to set the zero potential. The usual convention is to set that at infinity.
 
haruspex said:
Yes, but we're not told where to set the zero potential. The usual convention is to set that at infinity.
Yes, and that is where he should and can integrate the E field from. What's the problem?

The custom is to set potential to zero at infinity unless that is impossible - as with a charged wire of infinite length.
 
rude man said:
Yes, and that is where he should and can integrate the E field from. What's the problem?
No problem, just adding a detail to your guidance.
 
  • #10
haruspex said:
No problem, just adding a detail to your guidance.
10-4 ( means "OK", from an old US television show called "Highway Patrol" from which hopefully you were spared! )
 

Similar threads

Replies
5
Views
1K
  • · Replies 2 ·
Replies
2
Views
2K
Replies
7
Views
2K
  • · Replies 7 ·
Replies
7
Views
1K
Replies
1
Views
992
Replies
23
Views
5K
Replies
12
Views
2K
Replies
1
Views
2K
Replies
5
Views
4K
Replies
12
Views
3K