Circuits: Average Power Absorbed by Elements

Click For Summary
SUMMARY

The discussion focuses on calculating the average power absorbed by a pure resistor, capacitor, and inductor when subjected to a sinusoidal voltage, v(t) = V_{max}cos(ωt). The average power for the resistor is derived using the equation P_{avg} = (1/t)∫_0^t i(τ)v(τ)dτ, resulting in P_{avg,R} = V_{max}^2/(2Rt). The participants debate the claim from the textbook that the average power for capacitors and inductors is zero, concluding that this is only true when the time interval aligns with multiples of the period T of the sinusoidal function.

PREREQUISITES
  • Understanding of sinusoidal waveforms and their properties
  • Familiarity with Ohm's Law
  • Knowledge of average power calculations in electrical circuits
  • Basic calculus for evaluating integrals
NEXT STEPS
  • Explore the derivation of average power in AC circuits using phasors
  • Study the implications of reactive power in capacitors and inductors
  • Learn about power factor and its significance in AC circuit analysis
  • Investigate the relationship between time intervals and average power calculations
USEFUL FOR

Electrical engineering students, circuit designers, and anyone studying AC circuit analysis and power calculations.

Saladsamurai
Messages
3,009
Reaction score
7

Homework Statement



Let [itex]v(t) = V_{max}\cos(\omega t )[/itex] be applied to (a) a pure resistor, (b) a pure capacitor (with zero initial capacitor voltage) and (c) a pure inductor (with zero initial inductor voltage). Find the average power absorbed by each element.

Homework Equations



[tex]P_{avg}(\tau) = \frac{1}{t}\int_0^t i(\tau)v(\tau)\,d\tau[/tex]

Ohms law.

The Attempt at a Solution



Please skip ahead to the capacitor and inductor part of problem.Resistor

combining Ohm's Law and the average power equation, we have

[tex]P_{avg,R} = \frac{1}{t}\int_0^t \frac{v(\tau)}{R}v(\tau)\,d\tau[/tex]

[tex]= \frac{1}{Rt}\int_0^t \left [V_{max}\cos(\omega \tau )\right ] ^2 \,d\tau[/tex]

Using the trig identity: [itex]2\cos(x)\cos(y) = \cos(x - y) + \cos(x+y)[/itex]

[tex]P_{avg,R} = \frac{V_{max}^2}{Rt}\int_0^t \cos(\omega \tau )\cos(\omega \tau )d\tau[/tex]

[tex]= \frac{V_{max}^2}{2Rt}\int_0^t \left \{1 - \cos(2\omega\tau)\right \} \,d\tau[/tex]

[tex]\Rightarrow P_{avg,R} = \frac{V_{max}^2}{2Rt}\left \{\tau - \frac{1}{2\omega}\sin(2\omega\tau)\right \}_0^t[/tex]

Hmmm ... I guess this does work. I thought that the units weren't going to check out, but I forgot that 1/omega gets me my time dimension back. Oh well. I guess I answered this part ok.

For the capacitor and inductor I am assuming I will go through a similar procedure, however, my textbook makes a claim in the chapter that I disagree with. It says that the average power of a capacitor and inductor whose voltage and current vary sinusoidally can be shown to be zero. Is this ALWAYS true? Or only when the time interval of interest is some multiple of the period?
 
Last edited:
Physics news on Phys.org
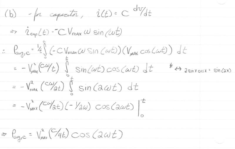
Carrying out the procedure for a capacitor, I have the following:

Screenshot2011-01-22at13155PM.png


It seems to me that this is only zero when the t = t0 + nT where T is the period of sin(2wt) and n = 1,2,3 ...


Any thoughts? Is this correct that the average power is only zero over multiples of T or am I missing something?

Thanks!
 
The text statement is incorrect.

The power certainly varies over time, which is why the exercise in finding average power is useful in the first place.

The instantaneous power is P(t)=i(t)v(t). For sinusoidal voltage it's evident that the power is not constant.

In order that the integral be invariant over any interval the integrand must be constant.
 
Last edited:

Similar threads

  • · Replies 1 ·
Replies
1
Views
2K
Replies
4
Views
2K
Replies
6
Views
1K
  • · Replies 8 ·
Replies
8
Views
3K
  • · Replies 3 ·
Replies
3
Views
2K
  • · Replies 32 ·
2
Replies
32
Views
3K
Replies
2
Views
2K
  • · Replies 10 ·
Replies
10
Views
2K
Replies
2
Views
1K
Replies
2
Views
939