Classical Mechanics: Linear movement against a constant force

Click For Summary

Homework Help Overview

The discussion revolves around a classical mechanics problem involving a boat that experiences a resistive force as it slows down. The original poster has reached a point in their solution where they need to solve an integral related to the distance the boat travels before coming to a stop.

Discussion Character

  • Exploratory, Mathematical reasoning, Assumption checking

Approaches and Questions Raised

  • The original poster describes their progress and seeks assistance with a specific integral they encounter. Some participants question the correctness of the problem statement and the implications of the resistive force at zero velocity. Others offer insights into potential mistakes in the original poster's work.

Discussion Status

The discussion is ongoing, with participants providing feedback on the original poster's attempts and questioning the assumptions made in the problem setup. There is no clear consensus yet, but some guidance has been offered regarding the integral and the formulation of the resistive force.

Contextual Notes

Participants are navigating potential errors in the problem statement and the implications of the resistive force's behavior at zero velocity. The original poster is also dealing with specific writing and sign errors in their calculations.

cemtu
Messages
99
Reaction score
7
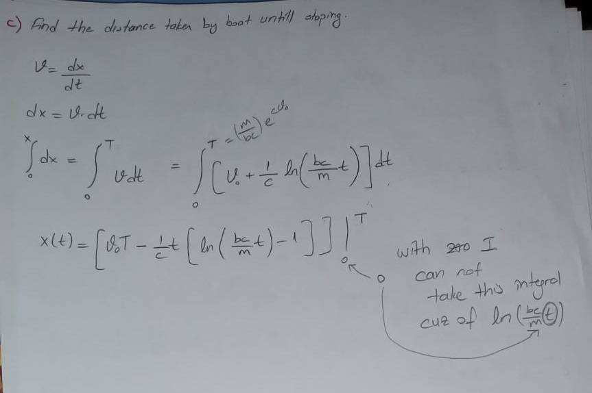
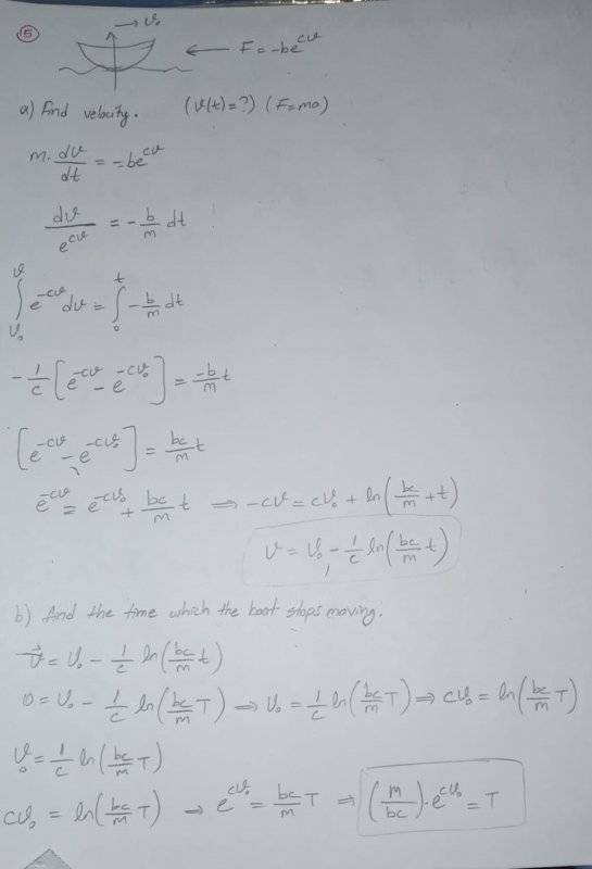
Homework Statement
A boat with initial velocity Vo starts to slow down by the resistive force F=-b(e^cv) (b and c are constants v is the velocity of the boat) by water when the engines are stopped.
a)Find the velocity v(t)
b)Find the time required for the boat to stop
c)Find the distance until the boat completely stop
Relevant Equations
## F = mdv/dt = -b(e^c)^v ##
I solved this question until the end of the "c)Find the distance until the boat completely stop"
However I can not solve the integral I encounter in the solution of the last part of c).

Would you please check for math and maybe my mistakes and tell me what to do? Here:
 

Attachments

  • WhatsApp Image 2020-01-01 at 22.24.44.jpeg
    WhatsApp Image 2020-01-01 at 22.24.44.jpeg
    24.3 KB · Views: 245
  • WhatsApp Image 2020-01-01 at 22.28.21.jpeg
    WhatsApp Image 2020-01-01 at 22.28.21.jpeg
    22.7 KB · Views: 246
Physics news on Phys.org
Can you identify the mistake in this line?
1577911726789.png
 
  • Like
Likes   Reactions: cemtu
Awful sign and writing mistakes. :D
Thank you mister TSny! However, correcting these writing mistakes does not help me solve the integral at part c) of my question. :D
 
cemtu said:
Homework Statement:: A boat with initial velocity Vo starts to slow down by the resistive force F=-b(e^cv)
Are you sure this is a correct statement of the problem? Note what happens at v=0.
Is it perhaps a force ##F=-b(e^{cv}-1)## ? But that would make for a very nasty integral.
 
Last edited:
cemtu said:
solve the integral at part c)
I assume you now have an integral of the form ##\int \ln(At+B).dt##. When faced with ##\int f(t).dt## which you don't know, a good place to start is tf(t). Differentiate that to see what you get and what adjustments you need to make.
 

Similar threads

  • · Replies 10 ·
Replies
10
Views
2K
Replies
2
Views
1K
  • · Replies 10 ·
Replies
10
Views
2K
Replies
6
Views
3K
  • · Replies 25 ·
Replies
25
Views
3K
  • · Replies 4 ·
Replies
4
Views
2K
  • · Replies 42 ·
2
Replies
42
Views
4K
Replies
46
Views
7K
  • · Replies 1 ·
Replies
1
Views
1K
  • · Replies 1 ·
Replies
1
Views
1K