Coefficient of performance triangle process thermodynamics

Click For Summary
SUMMARY

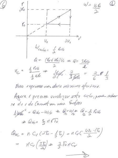
The discussion focuses on the calculation of the income from an ideal gas adiabatic coefficient γ during the ABCA cycle, as depicted in the referenced figure. Participants are tasked with demonstrating that the income is less than the yield of a Carnot cycle operating between the same temperature extremes. The equation P=nRT/V is utilized to derive the necessary calculations, and the accuracy of the work done in the cycle is confirmed. Clarification is sought regarding the specific heat Q calculated in the solution attempt.

PREREQUISITES
  • Understanding of thermodynamic cycles, specifically the ABCA cycle.
  • Familiarity with the Carnot cycle and its efficiency principles.
  • Knowledge of the ideal gas law, particularly P=nRT/V.
  • Basic concepts of adiabatic processes in thermodynamics.
NEXT STEPS
  • Study the principles of the Carnot cycle and its efficiency calculations.
  • Explore the derivation and implications of the ideal gas law in thermodynamic processes.
  • Investigate adiabatic processes and their characteristics in thermodynamics.
  • Learn about the significance of heat transfer in thermodynamic cycles.
USEFUL FOR

Students and professionals in thermodynamics, mechanical engineers, and anyone involved in the study of heat engines and energy efficiency.

viniterranova
Messages
8
Reaction score
0

Homework Statement



An ideal gas adiabatic coefficient γ is submitted to the ABCA cycle of fig, where AB is a line segment..
a) Calculate the income.
b) Show that it is smaller than the yield of a Carnot cycle operating between the same temperature extremes.

this is my attempt.

Homework Equations



P=nRT/V

The Attempt at a Solution



 

Attachments

  • Untitled-1.jpg
    Untitled-1.jpg
    20 KB · Views: 541
  • Thermo6.jpg
    Thermo6.jpg
    15 KB · Views: 558
Physics news on Phys.org
Your result for the work done in the cycle looks correct.

In the next line you have calculated some heat Q. Please explain what heat this represents and how you got this result.
 

Attachments

  • Triangle cycle 1.png
    Triangle cycle 1.png
    5.3 KB · Views: 566

Similar threads

Replies
3
Views
2K
  • · Replies 6 ·
Replies
6
Views
3K
Replies
3
Views
11K
Replies
12
Views
3K
  • · Replies 14 ·
Replies
14
Views
9K
  • · Replies 4 ·
Replies
4
Views
4K
Replies
7
Views
3K
Replies
9
Views
3K
  • · Replies 1 ·
Replies
1
Views
4K
  • · Replies 16 ·
Replies
16
Views
6K