Comparing the kinetic energies among a solid sphere, a cylinder and a hoop

Click For Summary

Homework Help Overview

The discussion revolves around comparing the kinetic energies of a solid sphere, a solid cylinder, and a hoop as they roll down an incline. Participants are analyzing the implications of their differing moments of inertia and how this affects their translational and rotational kinetic energies.

Discussion Character

  • Exploratory, Conceptual clarification, Assumption checking

Approaches and Questions Raised

  • Participants question the interpretation of kinetic energy in the context of the problem and discuss the significance of translational versus rotational kinetic energy. Some suggest reconsidering the approach to the problem, including the use of energy conservation principles.

Discussion Status

The discussion is ongoing, with participants providing insights and questioning each other's reasoning. Some have offered guidance on identifying errors in the original poster's approach, while others are exploring different interpretations of the problem without reaching a consensus.

Contextual Notes

There is mention of specific assumptions regarding the motion of the objects and the need for clarity on the equations used. Participants note that the problem may have been overcomplicated and emphasize the importance of understanding the relationship between translational and rotational motion.

hidemi
Messages
206
Reaction score
36
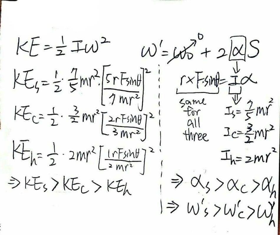
Homework Statement
A solid sphere, a solid cylinder, and a hoop all have the same mass and radius. Each are sent down identical inclined planes starting from rest. Their kinetic energies at the bottom of the incline are Ksphere, Kcylinder, and Khoop. Which of the following is true?

a. Ksphere > Kcylinder

b. Khoop > Ksphere

c. Khoop > Kcylinder

d. Kcylinder > Khoop

e.No answer above is correct.

The answer is e,
Relevant Equations
KE = 1/2 * I* ω^2
I did the question as attached, so I think A and D are correct but the given answer is E.
Where am I wrong? Thanks.
 

Attachments

  • 1.jpg
    1.jpg
    70.4 KB · Views: 230
Physics news on Phys.org
What do you think kinetic energy means in this question?
 
hidemi said:
Where am I wrong? Thanks.
In addition to the other replies:
- you have ignored the translational kinetic energy (##\frac 1 2 mv^2##);
- you have overcomplicated a simple problem - no formulae/maths are needed.
 
Steve4Physics said:
- you have ignored the translational kinetic energy (##\frac 1 2 mv^2##);
In the working, the motion is treated as rotation about point of contact, so includes linear.
 
Last edited:
  • Like
Likes   Reactions: Steve4Physics
hidemi said:
1615237296461.png

Did you mean for this to be ##\omega \, ' ^2 = \omega^2 + 2\alpha \theta##?

Note in particular the squares on the angular speeds.

[Edit: the above is to help you identify your mistakes. As @Steve4Physics noted, no calculation is actually necessary to answer the question.]
 
Last edited:
  • Like
Likes   Reactions: haruspex
caz said:
I might be missing something, but I would think about conservation of energy.
Certainly, but it is also useful for the OP to identify the error in the approach used.
 
haruspex said:
In the working, the motion is treated as rotation about point of contact, so includes linear.
You're quite right. I should have read the given solution properly!
 
Thanks for all your comments! I need some time to think about it.
 
The same starting potential energy turns into the same kinetic energy at the bottom: Ksphere = Ksolid cylinder = Khoop; K = K = K, they all have equal energies. same mgh → same kinetic energy

they do have different translational and rotational velocities due to their different I's:
https://en.wikipedia.org/wiki/List_of_moments_of_inertia
Larger I = more difficult to rotate.
Larger I's = more of that Kinetic energy is sucked into rotational motion rather than translational motion. The hoop rotates more slowly, but the total energies are the same.
 
  • #10
JLT said:
they do have different translational and rotational velocities due to their different I's:
https://en.wikipedia.org/wiki/List_of_moments_of_inertia
Larger I = more difficult to rotate.
Larger I's = more of that Kinetic energy is sucked into rotational motion rather than translational motion. The hoop rotates more slowly, but the total energies are the same.
You could save yourself some typing if you were to read the attempt first.
 
  • #11
hidemi said:
Homework Statement:: A solid sphere, a solid cylinder, and a hoop all have the same mass and radius. Each are sent down identical inclined planes starting from rest. Their kinetic energies at the bottom of the incline are Ksphere, Kcylinder, and Khoop. Which of the following is true?

a. Ksphere > Kcylinder

b. Khoop > Ksphere

c. Khoop > Kcylinder

d. Kcylinder > Khoop

e.No answer above is correct.

The answer is e,
Relevant Equations:: KE = 1/2 * I* ω^2

I did the question as attached, so I think A and D are correct but the given answer is E.
Where am I wrong? Thanks.

A couple things just a little off in your written work, need w^2 for constant acceleration equations, and moment balance needs to add to both rXma and I*alpha:
Here are two different ways to walk around it, using an energy balance, and also using constant acceleration equ's with moment balance, both reduce to the same results.
energybalancesphere.JPG

↑↑ different rotational velocities and angular accelerations, but it all adds up to the same mgh.

If given the choice in how to solve a problem, energy balance is usually the easiest way to go as energy is a scalar property (you do not have to worry about directions, only magnitudes, when it comes to 0.5mv^2 etc.)
Great job thinking through the relative magnitudes of the rotational motions! I think this questions was really trying to get you to think in terms of energy balances though.
 
  • #12
JLT said:
A couple things just a little off in your written work, need w^2 for constant acceleration equations, and moment balance needs to add to both rXma and I*alpha:
Here are two different ways to walk around it, using an energy balance, and also using constant acceleration equ's with moment balance, both reduce to the same results.
View attachment 279429
↑↑ different rotational velocities and angular accelerations, but it all adds up to the same mgh.

If given the choice in how to solve a problem, energy balance is usually the easiest way to go as energy is a scalar property (you do not have to worry about directions, only magnitudes, when it comes to 0.5mv^2 etc.)
Great job thinking through the relative magnitudes of the rotational motions! I think this questions was really trying to get you to think in terms of energy balances though.
AS @TSny spotted, the error was in writing ##\omega=2\alpha S##, where presumably S was meant to be angular distance, so would be better written as θ.
Using ##\omega^2=2\alpha \theta## would have given the right result.

I previously interpreted the error differently. I thought the S was for time (seconds), and that the mistake was assuming time was the same for all three. But then the factor of 2 would have been wrong as well.
 
Last edited:

Similar threads

  • · Replies 21 ·
Replies
21
Views
6K
Replies
5
Views
2K
Replies
10
Views
1K
Replies
2
Views
465
  • · Replies 4 ·
Replies
4
Views
2K
  • · Replies 5 ·
Replies
5
Views
1K
Replies
2
Views
3K
  • · Replies 2 ·
Replies
2
Views
6K
  • · Replies 3 ·
Replies
3
Views
3K