Compton scattering amplitude and propagator

Click For Summary
SUMMARY

The discussion centers on proving the propagator in the context of Compton scattering amplitude within Quantum Field Theory (QFT). Participants emphasize the necessity of understanding the quantization of the Dirac field to derive its propagation amplitudes. The conversation highlights the importance of the participant's background knowledge in QFT to tailor the explanation effectively.

PREREQUISITES
  • Understanding of Quantum Field Theory (QFT)
  • Knowledge of Dirac field quantization
  • Familiarity with scattering amplitudes
  • Basic concepts of particle physics
NEXT STEPS
  • Study the quantization process of the Dirac field
  • Research Compton scattering and its mathematical formulation
  • Learn about propagators in Quantum Field Theory
  • Explore advanced topics in scattering amplitudes
USEFUL FOR

Physicists, students of Quantum Field Theory, and researchers interested in particle interactions and scattering processes.

Dhmht_Kr
Messages
4
Reaction score
0
Hi everyone
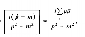
How can i prove that the propagator is
1681501906264.png

And then
1681501970004.png
 

Attachments

  • 1681501897142.png
    1681501897142.png
    2.2 KB · Views: 167
Physics news on Phys.org
I'm afraid answering your questions will depend on the background you'd like the explanation to be standing in. In other words, what level of QFT physics you are interested in? For instance, can I assume you're aware of how to quantize the Dirac field and then get its propagation amplitudes?

If you let me know your overall level in QFT, I might be able to answer the above questions.
 

Similar threads

  • · Replies 5 ·
Replies
5
Views
2K
  • · Replies 2 ·
Replies
2
Views
2K
  • · Replies 5 ·
Replies
5
Views
2K
  • · Replies 1 ·
Replies
1
Views
2K
Replies
13
Views
2K
Replies
2
Views
1K
  • · Replies 9 ·
Replies
9
Views
2K
  • · Replies 15 ·
Replies
15
Views
4K
  • · Replies 4 ·
Replies
4
Views
3K
  • · Replies 4 ·
Replies
4
Views
1K