Computing the Directional Derivative ....

Click For Summary
SUMMARY

The forum discussion centers on computing the directional derivative as presented in Jon Pierre Fortney's book, "A Visual Introduction to Differential Forms and Calculus on Manifolds," specifically in Chapter 2, Question 2.4 (a) (i). The original question incorrectly defines the function as ##f(x) = x##, while it should be ##f(x,y,z) = x## to align with the context of vectors ##v## and ##p## in ##\mathbb{R}^3##. The author acknowledges this as a typo and clarifies that the intention was to illustrate functions that depend on one variable despite being defined in three dimensions.

PREREQUISITES
  • Understanding of directional derivatives in multivariable calculus
  • Familiarity with differential forms and their applications
  • Knowledge of vector spaces, specifically in ##\mathbb{R}^3##
  • Basic proficiency in reading mathematical notation and functions
NEXT STEPS
  • Study the concept of directional derivatives in depth
  • Review the definitions and applications of differential forms
  • Explore examples of functions defined in multiple dimensions
  • Examine common typographical errors in mathematical texts and their implications
USEFUL FOR

Students and educators in mathematics, particularly those focusing on multivariable calculus, differential forms, and anyone seeking clarity on directional derivatives in the context of vector spaces.

Math Amateur
Gold Member
MHB
Messages
3,920
Reaction score
48
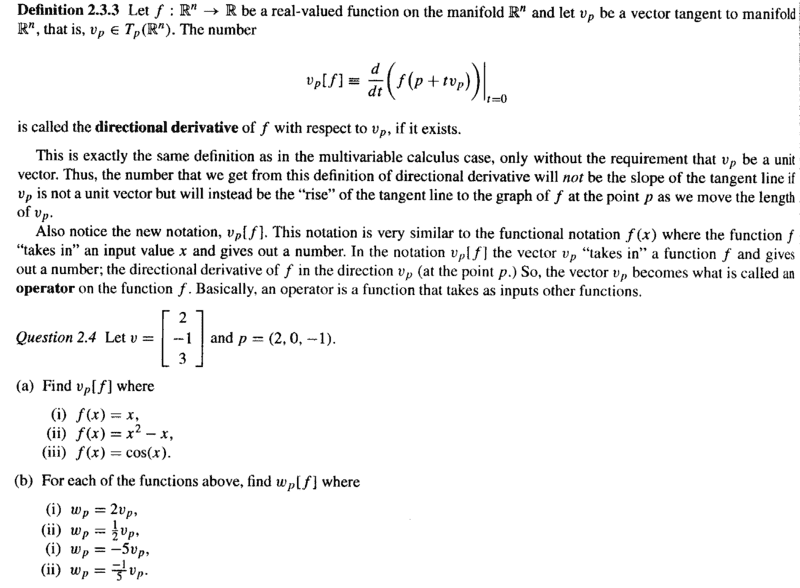
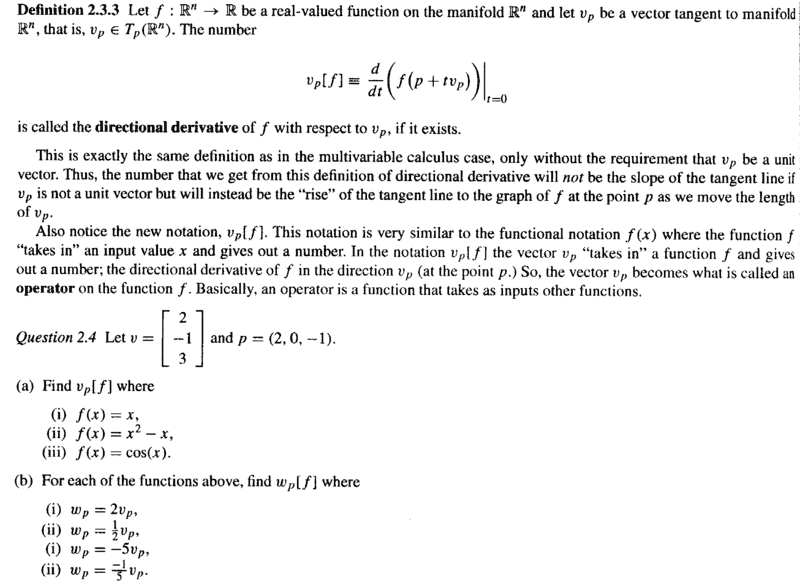
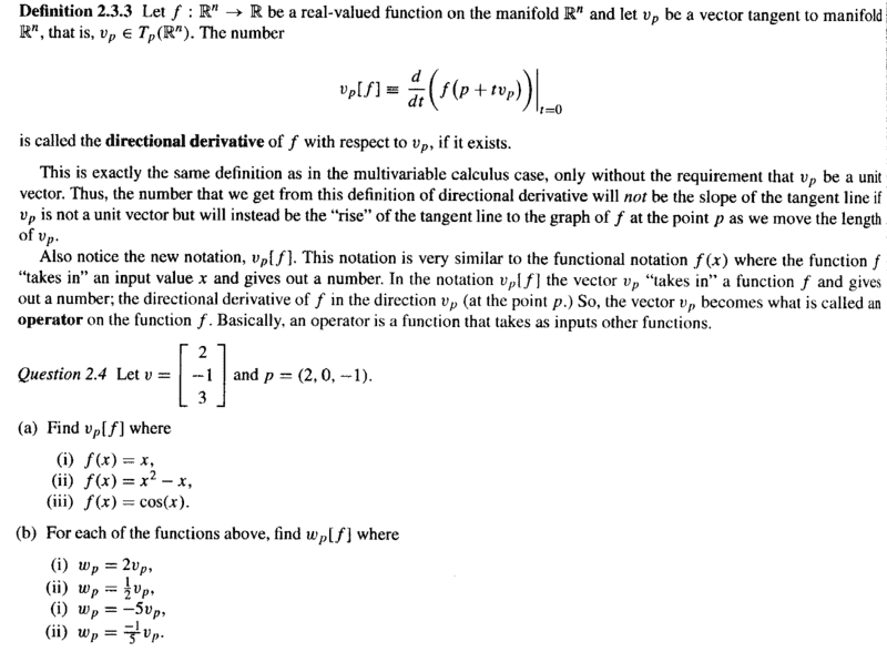
I am reading Jon Pierre Fortney's book: A Visual Introduction to Differential Forms and Calculus on Manifolds ... and am currently focused on Chapter 2: An Introduction to Differential Forms ...

I need help with Question 2.4 (a) (i) concerned with computing a directional derivative ...

Question 2.4, including the preceding definition of a directional derivative, reads as follows:
?temp_hash=ace156332842baad0083f00ad43f1083.png

My question/problem is as follows:

In question 2.4 (a) (i) we are asked to find ##v_p[f]## where ##f## is given as ##f(x) = x## ... ... BUT ... ##v## and ##p## are given in ##\mathbb{R}^3## ... so doesn't ##f## need to be defined on ##\mathbb{R}^3## ... say something like ##f(x,y, z) = x## or similar ...

Help will be appreciated ...

Peter
 

Attachments

  • Fortney - Question 2.4 .png
    Fortney - Question 2.4 .png
    40.1 KB · Views: 619
  • ?temp_hash=ace156332842baad0083f00ad43f1083.png
    ?temp_hash=ace156332842baad0083f00ad43f1083.png
    40.1 KB · Views: 1,170
Physics news on Phys.org
I agree; none of the examples given in 2.4(a) make sense as functions from [itex]\mathbb{R}^3[/itex] to [itex]\mathbb{R}[/itex].

Are there any hints or solutions in the text which shed light on what the author intended to say here?
 
  • Like
Likes   Reactions: WWGD, member 587159 and Math Amateur
Math Amateur said:
I am reading Jon Pierre Fortney's book: A Visual Introduction to Differential Forms and Calculus on Manifolds ... and am currently focused on Chapter 2: An Introduction to Differential Forms ...

I need help with Question 2.4 (a) (i) concerned with computing a directional derivative ...

Question 2.4, including the preceding definition of a directional derivative, reads as follows:View attachment 236656
My question/problem is as follows:

In question 2.4 (a) (i) we are asked to find ##v_p[f]## where ##f## is given as ##f(x) = x## ... ... BUT ... ##v## and ##p## are given in ##\mathbb{R}^3## ... so doesn't ##f## need to be defined on ##\mathbb{R}^3## ... say something like ##f(x,y, z) = x## or similar ...

Help will be appreciated ...

Peter
Grrrrrr! Thank you for bringing this to my attention!

That question is a very bad typo. :( If I remember what I was doing when I wrote that question is that I mean for (i) to be f(x,y,z)=x (so that the the function only actually depended on the one variable x and not on y and z) and then to have the functions in (ii) and (iii) to be functions that depended on y and z respectively. This was meant to help you contrast between these types of functions. But sadly, it is a typo for the time being so you are quite right to be confused. What I had really wanted was something like this:

(i) f(x,y,z) = x
(ii) f(x,y,z)=y^2-y
(iii) f(x,y,z)=cos(z)

So even though they are functions of three variables they really only depend on one variable. Consider how each of the v's effect each of these types of functions. If there is one thing I have learned from writing this book it is how hard it is to catch typos! Sorry again.
 
  • Like
Likes   Reactions: WWGD and PeroK

Similar threads

  • · Replies 4 ·
Replies
4
Views
2K
  • · Replies 4 ·
Replies
4
Views
3K
  • · Replies 10 ·
Replies
10
Views
4K
  • · Replies 9 ·
Replies
9
Views
3K
  • · Replies 4 ·
Replies
4
Views
4K
Replies
2
Views
2K
  • · Replies 6 ·
Replies
6
Views
4K
  • · Replies 20 ·
Replies
20
Views
4K
  • · Replies 1 ·
Replies
1
Views
1K
  • · Replies 12 ·
Replies
12
Views
5K