Conditional expectation given ##\mathcal{F}_m##

Click For Summary

Homework Help Overview

The discussion revolves around conditional expectation in probability theory, specifically focusing on the expectations E(Sn - Sm) and related calculations involving E[S^2_n|𝓕_m] and E[S^3_n|𝓕_m]. Participants are examining the correctness of various expressions and calculations related to these expectations.

Discussion Character

  • Mathematical reasoning, Assumption checking

Approaches and Questions Raised

  • Participants are verifying the correctness of derived expressions for conditional expectations and discussing potential errors in calculations. There is a focus on the relationships between different terms and the implications of those relationships on the overall results.

Discussion Status

The conversation is ongoing, with some participants providing corrections and alternative perspectives on the calculations. There is a mix of agreement and disagreement regarding specific terms in the expressions, indicating a collaborative effort to clarify the mathematical reasoning involved.

Contextual Notes

Participants are working under the assumption that certain previous discussions have established foundational results, which may not be fully reiterated in this thread. There is also a mention of specific values and probabilities related to the variables involved, which may influence the calculations being discussed.

WMDhamnekar
MHB
Messages
381
Reaction score
30
Homework Statement
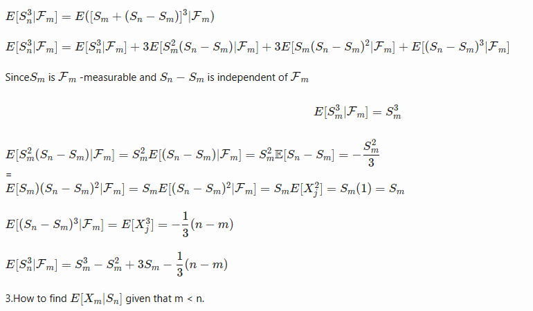
Suppose ## X_1, X_2, \dots ## are independent random variables with ## \mathbb{P}[X_j =1] = 1- \mathbb{P}[X_j =-1] =\displaystyle\frac13## Let ##S_n = X_1 +\dots + X_n## and let
##\mathcal{F}_n## denote the information contained in ## X_1 , \dots , X_n ##
1.If m < n Find ## E[S_n |\mathcal{F}_m], E[S^2_n| \mathcal{F}_m], E[S^3_n |\mathcal{F}_m]##

2. If m < n Find ## E [X_m| S_n ] ##
Relevant Equations
Not applicable
1678086797503.png

1678086985664.png

1678087009376.png

1678087089479.png


Are these above answers correct?
 
Physics news on Phys.org
You're getting careless again. In the first line you correctly say E(Sn-Sm) = (-1/3)(n-m).
So when later on you say SmE(Sn-Sm) = -Sm/3, that's wrong, isn't it?
And E[(Sn-Sm)2] is not E(Xj2)(n-m). We worked this out in another thread, didn't we? Similarly with the cube.
 
  • Like
Likes   Reactions: WMDhamnekar
mjc123 said:
You're getting careless again. In the first line you correctly say E(Sn-Sm) = (-1/3)(n-m).
So when later on you say SmE(Sn-Sm) = -Sm/3, that's wrong, isn't it?
And E[(Sn-Sm)2] is not E(Xj2)(n-m). We worked this out in another thread, didn't we? Similarly with the cube.
E(Sn - Sm)= -1/3 (n-m)
So, SmE[Sn -Sm ] = -Sm(n-m)/3

Hence ##E[S^2_n|\mathcal{F}_m] = S^2_m -\frac23 S_m (n-m) + (n-m) + \frac{(n-m)(n-m-1)}{9}##

##E[S^3_n|\mathcal{F}_m] = S^3_m - S^2_m(n-m) + S_m(n-m)\frac{(n-m)(n-m-1)}{3} -\frac{n-m}{3} - (n-m)(n-m-1)- \frac{(n-m)(n-m-1)(n-m-2)}{27}##
Are these above answer correct?
Note:

Now, do you mean to say E[(Sn - Sm)2] = (n- m) +##\frac{(n-m)(n-m-1)}{9}##
and E[(Sn - Sm)3] = ##-\frac{n-m}{3} - (n-m)(n-m-1)- \frac{(n-m)(n-m-1)(n-m-2)}{27}##
 
Last edited:
I think that's correct, except that the Sm term in the cube should be
3Sm{(n-m) + (n-m)(n-m-1)/9}
You multiplied when you should have added.
 
  • Like
Likes   Reactions: WMDhamnekar
mjc123 said:
I think that's correct, except that the Sm term in the cube should be
3Sm{(n-m) + (n-m)(n-m-1)/9}
You multiplied when you should have added.
Is my computed E(Xm| Sn] correct?
 
You want E[Xm|Sn]. Why do you bring in Sm? You don't know that (in the terms of the question). I would say it's Sn/n.
Sn can take the values n-2k (0≤k≤n). If there are k values of -1 in the string, the probability of any one value being -1 is k/n, and the probability of it being 1 is (n-k)/n. The expectation of any Xi is then
1*(n-k)/n - 1*k/n = (n-2k)/n = Sn/n.
 
  • Like
Likes   Reactions: WMDhamnekar

Similar threads

Replies
0
Views
1K
  • · Replies 6 ·
Replies
6
Views
1K
Replies
2
Views
2K
  • · Replies 1 ·
Replies
1
Views
3K
  • · Replies 10 ·
Replies
10
Views
4K
  • · Replies 4 ·
Replies
4
Views
2K
Replies
3
Views
2K
  • · Replies 12 ·
Replies
12
Views
3K
  • · Replies 1 ·
Replies
1
Views
2K
Replies
14
Views
3K