Stochastic Calculus: Conditional Expectation

Click For Summary

Homework Help Overview

The discussion revolves around the computation of conditional expectations in stochastic calculus, specifically focusing on independent random variables and their sums. The original poster seeks validation for their answers related to the expected values of sums of random variables.

Discussion Character

  • Exploratory, Assumption checking, Mathematical reasoning

Approaches and Questions Raised

  • Participants discuss the correctness of the original poster's answers and suggest substituting values to verify results. There are questions about the treatment of multinomial expressions and the implications of independence among random variables.

Discussion Status

The conversation is ongoing, with participants providing feedback on specific calculations and suggesting areas for correction. There is no explicit consensus on the correctness of the answers, but some guidance has been offered regarding the use of multinomial coefficients and the structure of expected value calculations.

Contextual Notes

Participants note potential careless mistakes in the original poster's calculations and emphasize the importance of correctly applying multinomial coefficients in the context of the problem.

WMDhamnekar
MHB
Messages
381
Reaction score
30
Homework Statement
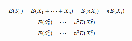
Suppose ##X_1,X_2 \dots ## are independent random variables with ##\mathbb{P}[X_j= 1] =1- \mathbb{P}[X_j=-1]=\frac13## Let ## S_n = X_1 +\dots +X_n## Find ## \mathbb{E}[S_n], \mathbb{E}[S^2_n], \mathbb{E}[S^3_n]##
Relevant Equations
Not applicable
Are my following answers correct?
1677864912441.png

1677864978342.png

1677877283450.png
 
Last edited:
Physics news on Phys.org
Have you tried the simple expedient of substituting some values of n and seeing if you get the right answer? Try n=1 to start.
You are making some careless mistakes
e.g. the expression for E(S2) should be n(1) + n(n-1)(1/9)
Your statement about the product of 3 random variables makes no sense; they are certainly not equal to zero. Each of the 3 random variables may independently take either of the values 1 or -1.
 
  • Like
  • Informative
Likes   Reactions: WMDhamnekar and WWGD
WMDhamnekar said:
Homework Statement:: Suppose ##X_1,X_2 \dots ## are independent random variables with ##\mathbb{P}[X_j= 1] =1- \mathbb{P}[X_j=-1]=\frac13## Let ## S_n = X_1 +\dots +X_n## Find ## \mathbb{E}[S_n], \mathbb{E}[S^2_n], \mathbb{E}[S^3_n]##
Relevant Equations:: Not applicable

Are my following answers correct?View attachment 323141
View attachment 323142
View attachment 323157
I agree with mjc -- hey, it rhymes!

You can't treat a multinomial ## ( X_1+X_2+....+X_n)^2## as a standard binomial ##( X_1+X_2)^2##. Look up multinomial coefficients.
 
mjc123 said:
Have you tried the simple expedient of substituting some values of n and seeing if you get the right answer? Try n=1 to start.
You are making some careless mistakes
e.g. the expression for E(S2) should be n(1) + n(n-1)(1/9)
Your statement about the product of 3 random variables makes no sense; they are certainly not equal to zero. Each of the 3 random variables may independently take either of the values 1 or -1.
So, taking into consideration your this reply, I correct my amswers as follows:
##\mathbb{E}[S_n]=-\displaystyle\frac{n}{3}, \mathbb{E}[S^2_n]= n +\displaystyle\frac{n(n-1)}{9}, \mathbb{E}[S^3_n ] = -\displaystyle\frac{n}{3}-\frac{n(n-1)}{2} -\displaystyle\frac{n(n-1)}{9}##

Now, are these above answers correct?
 
Last edited:
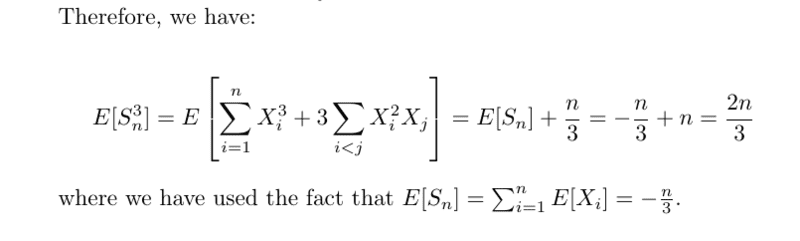
Correct answers are
1677954533684.png
 
No, they are not. The answer for E(Sn2) is wrong for n = 2, and that for E(Sn3) is wrong for n = 3.

The answer you gave in post #4 for E(Sn2) is right, but the answer for E(Sn3) is not. You didn't show your working, but I suspect the mistake may lie in enumerating the terms of different kinds.
There are n terms of the form Xi3, each of which has expectation -1/3.
There are 3n(n-1) terms of the form Xi2Xj, each of which has expectation -1/3*1.
There are n(n-1)(n-2) terms of the form XiXjXk, each of which has expectation -1/27.
(Check that the total number of terms is n3.)
 
  • Like
Likes   Reactions: WMDhamnekar
Sorry to insist on this, but I suggest you check multinomial coefficients , to determine how to expand multinomials ##( x_1+x_2+...+x_k)^n##. I suspect the errors may be partially due to this.
 
  • Like
Likes   Reactions: WMDhamnekar

Similar threads

Replies
2
Views
1K
  • · Replies 29 ·
Replies
29
Views
2K
  • · Replies 5 ·
Replies
5
Views
2K
  • · Replies 1 ·
Replies
1
Views
10K
  • · Replies 4 ·
Replies
4
Views
1K
Replies
0
Views
1K
  • · Replies 0 ·
Replies
0
Views
3K
  • · Replies 31 ·
2
Replies
31
Views
5K
  • · Replies 75 ·
3
Replies
75
Views
6K
  • · Replies 2 ·
Replies
2
Views
4K