Confusion about the Concept of Operators

Click For Summary

Discussion Overview

The discussion revolves around the concept of operators in quantum mechanics, specifically focusing on the Hamiltonian operator and its implications in Dirac notation. Participants explore questions related to operator actions on states, eigenstates, and the meaning of certain equations involving the Hamiltonian.

Discussion Character

  • Exploratory
  • Technical explanation
  • Debate/contested

Main Points Raised

  • Jon questions why the Hamiltonian operator acts differently on bra and ket states in the expressions <ψ|HA|ψ> and <ψ|AH|ψ>.
  • Jon seeks clarification on the meaning of the equation H|ψ> = |Hψ> and whether it implies a change in the state.
  • Some participants suggest that the notation used in Jon's source may be misleading and that it primarily serves as a definition rather than conveying physical meaning.
  • There is a discussion about whether the equation H|ψ> = E|ψ> holds true only if the state |ψ> is an eigenstate of H.
  • Participants debate the implications of changing basis and diagonalizing the Hamiltonian, with some asserting that eigenstates are basis-independent.
  • There is a mention of the Schrödinger picture of time evolution and how it relates to the operators and states involved.
  • Confusion arises regarding the relationship between the Hamiltonian and the states in different bases, with some participants clarifying that diagonalization does not affect the eigenstate property.
  • Jon expresses a feeling of misunderstanding but acknowledges gaining clarity on the logistics of the discussion.

Areas of Agreement / Disagreement

Participants express various viewpoints regarding the interpretation of operator actions and the implications of eigenstates. There is no consensus on some of the foundational concepts, and confusion persists among participants about the relationships between operators and states.

Contextual Notes

Some participants note that the notation and definitions used in the source material may not clearly convey the underlying physics, leading to misunderstandings. The discussion also highlights the complexity of operator relationships and the conditions under which certain equations hold true.

jdou86
Messages
34
Reaction score
1
Dear all,

I've been reading and got confused of the concept below
240745

have two questions

question 1)
For <ψ|HA|ψ> = <Hψ|A|ψ>, why does the Hamiltonian operator acting on the bra state
and <ψ|AH|ψ> in this configuration it will act on the ket state?

question 2)
what does it mean for H|ψ> = |Hψ> did the state change? or it's simply a constant, (it can't be right since if so any operator will commute with Hamiltonian)

Thank you.

Jon
 
Physics news on Phys.org
jdou86 said:
I've been reading

What source have you been reading? Please give a reference. It's a lot easier to help if we have the context of where you are getting information from.
 
Ok, looking at your source it seems like it's just being rather cavalier with notation. In the casual notation this source is using, the ket ##|H \psi \rangle## just means "the ket you get by operating on ##| \psi \rangle## with ##H## from the left", i.e., ##H | \psi \rangle = | H \psi \rangle## is just a definition of how they're using notation and tells you nothing about any physics. Similarly, the bra ##\langle H \psi |## just means "the bra you get by operating on ##\langle \psi |## with ##H## from the right", i.e., ##\langle \psi | H = \langle H \psi |## is just a definition of their notation. (In the latter case the notation is particularly confusing since the operator is operating from the right, but it appears on the left inside the bra.)
 
PeterDonis said:
Ok, looking at your source it seems like it's just being rather cavalier with notation. In the casual notation this source is using, the ket ##|H \psi \rangle## just means "the ket you get by operating on ##| \psi \rangle## with ##H## from the left", i.e., ##H | \psi \rangle = | H \psi \rangle## is just a definition of how they're using notation and tells you nothing about any physics. Similarly, the bra ##\langle H \psi |## just means "the bra you get by operating on ##\langle \psi |## with ##H## from the right", i.e., ##\langle \psi | H = \langle H \psi |## is just a definition of their notation. (In the latter case the notation is particularly confusing since the operator is operating from the right, but it appears on the left inside the bra.)
yeah but isn't H|ψ> = E |ψ(>*edit) commutator cancels out?
 
jdou86 said:
isnt H|ψ> = E |ψ(>*edit)

Only if the system is in an eigenstate of ##H##.
 
240753
Could it still be true if it's under Dirac formalism? I'm kinda confused because if you can do change of basis diagonalizing hamiltonian then change to the new orthogonal eigenbasis. Then you will always have E as their eigenvalues.

Maybe I'm totally lost.
 
It's of course the usual Dirac bra-ket notation, and there's nothing mysterious about it. One should also note that everything is in the Schrödinger picture of time evolution, i.e., the states carry the entire time dependence, while the fundamental operators for observables are time-independent. Now ##\hat{A}## is an operator that is in addition also explicitly time dependent. In the Schrödinger picture you have
$$\mathrm{i} \partial_t |\psi(t) \rangle = \hat{H} |\psi(t) \rangle,$$
where ##\hat{H}## (which may be explicitly time dependent or not) is the Hamilton operator, which must be self-adjoint.

Taking the adjoint of this equation, you get
$$-\mathrm{i} \partial_t \langle \psi(t)| = \langle \psi(t)| \hat{H}^{\dagger} = \langle \psi(t)| \hat{H} = \langle \hat{H} \psi(t)|.$$
Finally you have
$$\frac{\mathrm{d}}{\mathrm{d} t} \hat{A}=\partial_t \hat{A},$$
i.e., the time derivative refers only to a possible explicit time dependence.

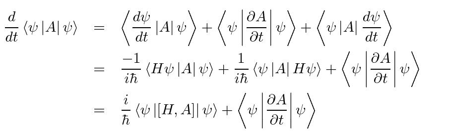
Now you should easily understand the copied calculation from your textbook by using the rule for product differentiation and the just derived formulae above.
 
  • Like
Likes   Reactions: bhobba
jdou86 said:
Could it still be true if it's under Dirac formalism?

Could what still be true?

jdou86 said:
I'm kinda confused because if you can do change of basis diagonalizing hamiltonian then change to the new orthogonal eigenbasis. Then you will always have E as their eigenvalues.

Yes, you are confused. Whether or not a particular state ##| \psi \rangle## is an eigenstate of the Hamiltonian ##H## has nothing to do with what basis you write the states in. The eigenvalue equation ##H | \psi \rangle = E | \psi \rangle## is only satisfied by states ##| \psi \rangle## that are eigenstates of ##H##; that equation is basis independent (a state that satisfies it does so in any basis). But most states are not eigenstates of ##H##, so they don't satisfy that equation.
 
  • #10
Either system (ket) state or Hamiltonian which ever you wan to call it can be radiagonalized to be the eigenstates.

Think I got it now operators can act on each other just like some off diagonal matrices
 
  • #11
jdou86 said:
Either system (ket) state or Hamiltonian which ever you wan to call it can be radiagonalized to be the eigenstates.

Diagonalization does not affect which states are eigenstates. Diagonalization is just a change of basis. See my previous post.
 
  • #12
PeterDonis said:
Diagonalization does not affect which states are eigenstates. Diagonalization is just a change of basis. See my previous post.
So why not pick a basis that contains the eigenkets of H?
 
  • #13
jdou86 said:
So why not pick a basis that contains the eigenkets of H?

You can pick whatever basis you want. What difference does it make?
 
  • #14
jdou86 said:
commutator cancels out?

Whether or not ##H## commutes with ##A## doesn't depend on what state ##| \psi \rangle## they are operating on.
 
  • #15
Feel like we are speaking different languages, i would stop here. Thank you, I get the logistic now. I appreciate for your time. Enjoy the rest of the sunday.

-J
 

Similar threads

  • · Replies 11 ·
Replies
11
Views
3K
  • · Replies 8 ·
Replies
8
Views
2K
  • · Replies 57 ·
2
Replies
57
Views
6K
  • · Replies 7 ·
Replies
7
Views
1K
  • · Replies 7 ·
Replies
7
Views
2K
  • · Replies 16 ·
Replies
16
Views
2K
Replies
3
Views
4K
  • · Replies 11 ·
Replies
11
Views
5K
  • · Replies 3 ·
Replies
3
Views
2K
  • · Replies 33 ·
2
Replies
33
Views
4K