Continuous or discrete acceleration?

Click For Summary

Discussion Overview

The discussion revolves around the nature of acceleration in the context of the Hubble value and the expansion of the Universe. Participants explore whether acceleration can be considered continuous or discrete and how this affects the Hubble value over time. The conversation includes theoretical implications and mathematical modeling related to these concepts.

Discussion Character

  • Exploratory
  • Technical explanation
  • Mathematical reasoning
  • Debate/contested

Main Points Raised

  • One participant questions how the Hubble value can decrease over time despite the Universe's acceleration, proposing a scenario involving discrete versus continuous acceleration.
  • Another participant clarifies that the initial argument regarding speed increase should focus on speed rather than acceleration and challenges the validity of the initial claims about continuous models.
  • A participant suggests constructing a continuous model to investigate the implications of the Hubble value and presents a mathematical formulation for further exploration.
  • There is a discussion about whether it is possible to have a constant Hubble value over time in a continuous model, with one participant attempting to prove this through mathematical reasoning.
  • Another participant emphasizes the need to investigate the equations as continuous functions rather than relying on discrete examples, suggesting that different functions should be tested to satisfy the equations related to the Hubble value.
  • There is a challenge regarding the relevance of specific formulas presented by a participant, with calls for a more general approach to the problem rather than focusing on particular values.

Areas of Agreement / Disagreement

Participants express differing views on the nature of acceleration (continuous vs. discrete) and its implications for the Hubble value. There is no consensus on whether a continuous model can maintain a constant Hubble value, and the discussion remains unresolved.

Contextual Notes

Participants acknowledge the complexity of the mathematical relationships involved and the potential limitations of their approaches. There are unresolved assumptions regarding the behavior of acceleration and its impact on the Hubble value.

JohnnyGui
Messages
802
Reaction score
51
Good day to you all,

First, I want to let you all know that I'm new at this and that my question could be a bit vague so I'll try and do my best to explain what I want to know.

I read on a forum about the Hubble's value decreasing over time despite the fact that the expansion of the Universe is accelerating. Reading the explanation about this, it says that, since Hubble's value is a speed at a particular distance ((ΔD / Δt) / Dt), the fact that it's decreasing is because the increase in speed can't catch up with the increase in distance change which results in the numerator (ΔD / Δt) having a smaller factor increase than the denominator (Dt) and thus the Hubble's value decreases over time.

After thinking this a bit through, I tried to think of scenarios of the formula in which H would stay constant or even increase and I came to a (probably a wrong) conclusion.

Here's the thing; if there's, for example, an object receding at 6 m/s from a distance of 10m, thus the Hubble being 6m/s / 10m, and there's an acceleration of 1 m/s per second on this object because of expansion, this would make the Hubble's value after 1 second 7 m/s / 16m at first glance. However, this is only the case if the acceleration increase goes in discrete steps of 1 m/s2. If the acceleration was however continuous, this would mean that within that 1 second there are infinitesimally small speed increases of that object (starting from 6 m/s) until it reaches 7 m/s after a second. But this would mean that after that 1 second, the object would have reached a larger distance than 16m because it had a continuous increase in speed in within that second. Thus, the distance increase is always larger in a continuous acceleration than in a discrete one.

The conclusion that a continuous increase in speed means that it's tied to a larger factor increase of the denominator (Dt) led me to think that it's inevitable that the Hubble value must keep decreasing. I can't seem to think of a continuous accelerating expansion in which the numerator and the denominator of the Hubble's value would both be increased by the same factor to keep the Hubble constant. That would only be possible if the acceleration goes in discrete steps.

However, the fact that the Hubble value IS reaching a more or less constant value, makes me think that the accelerating expansion of the Universe does go in somewhat, probably a very very small, discrete steps of Δt or that there's a very small discrete unit of distance.

I'm probably thinking this the wrong way through and I'd appreciate some correction on this if that's the case.
 
Space news on Phys.org
JohnnyGui said:
this would make the Hubble's value after 1 second 7 m/s / 16m at first glance. However, this is only the case if the acceleration increase goes in discrete steps of 1 m/s2.

First of all, you mean the speed increase, not the acceleration increase, correct? Your hypothesis is that, in 1 second, the speed of recession increases by 1 m/s, from 6 m/s to 7 m/s.

That said, your argument proves absolutely nothing about whether a continuous model can be constructed; all it shows is that a continuous model can't match the particular numbers that you just pulled out of thin air. The response to that is, so what?

What you should do, instead, is actually construct a continuous model and investigate its implications. In a continuous model, you would have

$$
H = \frac{1}{D} \frac{dD}{dt}
$$

and therefore

$$
\frac{dH}{dt} = - \frac{1}{D^2} \left( \frac{dD}{dt} \right)^2 + \frac{1}{D} \frac{d^2 D}{dt^2}
$$

Then you just need to figure out what would need to be true for ##dH / dt > 0## to hold. That's easy; we would have to have

$$
\frac{d^2 D}{dt^2} > \frac{1}{D} \left( \frac{dD}{dt} \right)^2
$$

where I have canceled out a common factor of ##1 / D##, which amounts to assuming that we will only be considering positive ##D##. The question then is, is there a function ##D(t)## that satisfies the above equation? I'll leave that for you to ponder for now.
 
  • Like
Likes   Reactions: QuantumQuest
PeterDonis said:
snip

Thanks. You're absolutely right about having to construct a model for this first and I have indeed tried this before reading your post. Doesn't your conclusion "dH / dt > 0" indicate that I'd have to try and prove that H increases over time? Because what I wanted to prove is, if it's possible to have a constant H over time in a continuous model instead, which means that I want to prove that dH / dt = 0.

I've tried doing this by the following; I simply wanted to see if it's possible if H after dt time = the initial H in a continuous model.

The initial H is shown by:
Formule.jpg


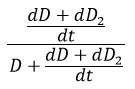
Then, during a dt time, an acceleration occurs which means that after that dt time, the object has traveled an extra distance than it normally would with dD / dt.
Let's call that extra distance D2. This means that after dt time the object has reached a distance of D + ((dD + dD2) / dt).

The Hubble value after dt time thus is:
Formule 2.jpg


I have tried to test if these two formulas can equal each other but I couldn't it figure out since I can only get D and dt to one side and not on both sides of the equation. Are these formulas wrong in the first place?
 
JohnnyGui said:
Doesn't your conclusion "dH / dt > 0" indicate that I'd have to try and prove that H increases over time? Because what I wanted to prove is, if it's possible to have a constant H over time in a continuous model instead, which means that I want to prove that dH / dt = 0.

Either one would do, it just depends on what you want to try to prove (or disprove, by showing that it is impossible to find conditions that will satisfy the appropriate equation).

JohnnyGui said:
I've tried doing this by the following

None of this is relevant. What you need to do is look at the equation dH / dt > 0, or dH / dt = 0, as a continuous equation in its own right, and investigate whether there are any functions H(t) (or D(t), which might be easier to work with) that can satisfy the equation. You can't do that by testing particular discrete values. You need to try different possible functions, take their derivatives, and see whether they can satisfy the equation.

For example, suppose we want to see whether a function ##D(t) = t^n## (i.e., the distance ##D## is equal to the time ##t## raised to some power ##n##) can satisfy ##dH / dt = 0##. Here's how we would check that: first, we compute ##dD / dt = n t^{n-1}## and ##d^2 D / dt^2 = n \left( n - 1 \right) t^{n - 2}##. Then we plug these into the equation I gave in my last post that ##D## and its deriatives would have to satisfy to have ##dH / dt = 0## (I'll use the equals sign instead of the ##>## sign since you say you're interested in whether we can have ##dH / dt = 0## rather than ##dH / dt > 0##):

$$
\frac{d^2 D}{dt^2} = \frac{1}{D} \left( \frac{dD}{dt} \right)^2
$$

Plugging in the above gives

$$
n \left( n - 1 \right) t^{n - 2} = \frac{1}{t^n} \left( n t^{n - 1} \right)^2
$$

This simplifies to

$$
n \left( n - 1 \right) = n^2
$$

which is obviously false; so we have shown that no function of the form ##D(t) = t^n## can satisfy ##dH / dt = 0##. (And the expression is still false if we use a ##>## sign instead of an ##=## sign, so this also shows that no function of this form can satisfy ##dH / dt > 0##.)
 
PeterDonis said:
None of this is relevant. What you need to do is look at the equation dH / dt > 0, or dH / dt = 0, as a continuous equation in its own right, and investigate whether there are any functions H(t) (or D(t), which might be easier to work with) that can satisfy the equation. You can't do that by testing particular discrete values. You need to try different possible functions, take their derivatives, and see whether they can satisfy the equation.

Could you please explain why the equation I mentioned in my post #3 is not relevant? I haven't chosen particular values in this case and I've written the formulas of the Hubble value how (I think) it should behave over a dt time when acceleration is involved. Why can't I try and prove or disprove that these 2 formulas can be or not be equal to each other instead of trying out different functions?
 
JohnnyGui said:
Could you please explain why the equation I mentioned in my post #3 is not relevant?

Because you're looking at the discrete change over a finite interval of time ##dt##, when you should be looking at the continuous function ##D(t)## and its derivatives, as I described in my last post.

JohnnyGui said:
Why can't I try and prove or disprove that these 2 formulas can be or not be equal to each other instead of trying out different functions?

Because you can't prove anything about the properties of continuous functions by looking at discrete changes. Any equation involving discrete changes is going to be only an approximation to the correct continuous equation anyway.

If you're having trouble coming up with continuous functions to try, try ##D(t) = e^t##.
 
PeterDonis said:
Because you're looking at the discrete change over a finite interval of time dt, when you should be looking at the continuous function D(t) and its derivatives, as I described in my last post.

Ah ok, because derivatives don't have any "sharp/discrete" jumps in their functions (which can be seen when their graphs are drawn)?

One other question: Since I am talking about a continuous acceleration, is that the reason why you've chosen an exponential function for distance over time for me to derive?

PeterDonis said:
If you're having trouble coming up with continuous functions to try, try D(t)=etD(t)=etD(t) = e^t.

Thanks, I know that the derivative of such a function is the same, which is et.

When plugging that in the equation, the right side of the equation would equal, after simplifying, also et
However, I'm not familiar with how to write down et in the left side of the equation in the form of
Formula.jpg

just as I don't know how you derived dH / dt in your post #2 for it to be

Derivation.jpg

Sorry but could you please elaborate on these a bit more?
 
JohnnyGui said:
because derivatives don't have any "sharp/discrete" jumps in their functions (which can be seen when their graphs are drawn)?

Yes.

JohnnyGui said:
Since I am talking about a continuous acceleration, is that the reason why you've chosen an exponential function for distance over time for me to derive?

No, there are lots of continuous functions other than the exponential function. But the exponential has a particular property that makes it of interest for the question you are trying to answer. See below.

JohnnyGui said:
I know that the derivative of such a function is the same, which is et.

Yes. And therefore the second derivative is also ##e^t##. So my equation

$$
\frac{d^2D}{dt^2} = \frac{1}{D} \left( \frac{dD}{dt} \right)^2
$$

becomes

$$
e^t = \frac{1}{e^t} \left( e^t \right)^2
$$

which is obviously true, since the ##e^t## in the denominator of the RHS cancels one of the ##e^t## factors in the numerator, leaving just ##e^t##. In other words, ##D(t) = e^t## leads to the equation ##dH / dt = 0## being satisfied!

In fact, this can be seen even more easily by just looking at the equation for ##H##:

$$
H = \frac{1}{D} \frac{dD}{dt} = \frac{1}{e^t} e^t = 1
$$

In other words, ##D(t) = e^t## makes ##H## a constant, whose time derivative is obviously zero.
 
Great, thanks for the clarification. I have three questions.

1. Does this all mean that, if I measure a constant H over time and that there's a continuous accelerated expansion, that the accelerated expansion of the universe must follow D(t) = et?

2.
Why can't it be some other value than e for example nt since it's also an exponential function? Is it that et is unique in having a similar derivative while nt doesn't?

PeterDonis said:
No, there are lots of continuous functions other than the exponential function. But the exponential has a particular property that makes it of interest for the question you are trying to answer. See below.

3. But isn't that what I just said? Since I am asking a question about acceleration, that the function that I have to derive must be an exponential function because acceleration gives an exponential function for D(t)?
 
  • #10
JohnnyGui said:
Does this all mean that, if I measure a constant H over time and that there's a continuous accelerated expansion, that the accelerated expansion of the universe must follow D(t) = et?

Have you tried a more general exponential function, such as ##A e^{bt}##, where ##A## and ##b## are constants?

JohnnyGui said:
Why can't it be some other value than e for example nt since it's also an exponential function? Is it that et is unique in having a similar derivative while nt doesn't?

Have you checked to see whether ##D(t) = n^t##, where ##n## is an arbitrary number, satisfies ##dH / dt = 0##?

JohnnyGui said:
the function that I have to derive must be an exponential function because acceleration gives an exponential function for D(t)?

We have shown that an exponential function satisfies ##dH / dt = 0##. We have not shown that it is the only possible function that does.
 
  • #11
PeterDonis said:
Have you tried a more general exponential function, such as Aebt, where A and b are constants?

Not really familiar with the rules for deriving such exponential functions but isn't it so that constants shouldn't affect the original formula of et so that the derivative stays the same?

PeterDonis said:
Have you checked to see whether D(t)=ntD(t)=ntD(t) = n^t, where nnn is an arbitrary number, satisfies dH/dt=0dH/dt=0dH / dt = 0?

Indeed, et is unique in that it has the same derivative while nt has a derivative of nt ⋅ ln n.
Plugging it in your mentioned equation and simpifying it gives me: n2t ⋅ (ln n)2 = nt ⋅ (ln n)2 which doesn't make sense so it's not possible (I could have done it wrong though).

PeterDonis said:
We have shown that an exponential function satisfies dH/dt=0dH/dt=0dH / dt = 0. We have not shown that it is the only possible function that does.

This might be farfetched and vague but is it theoretically possible to derive Planck's time interval from measurements of distance that results from a continuous acceleration? Since it's the smallest time limit in which we can observe change?
 
  • #12
JohnnyGui said:
Not really familiar with the rules for deriving such exponential functions

You do it for ##n^t## correctly later on in your post. ##A^{bt}## is the same thing, just with an extra constant factor of ##b## in the derivative.

JohnnyGui said:
Plugging it in your mentioned equation and simpifying it gives me: n2t ⋅ (ln n)2 = nt ⋅ (ln n)2 which doesn't make sense so it's not possible (I could have done it wrong though).

You did it wrong. The derivative of ##n^t \ln n## (which is the second derivative of ##n^t##) is ##n^t \left( \ln n \right)^2##.

JohnnyGui said:
is it theoretically possible to derive Planck's time interval from measurements of distance that results from a continuous acceleration?

Not that I'm aware of.

JohnnyGui said:
it's the smallest time limit in which we can observe change?

This is not a known fact. It's just a plausible hypothesis in quantum gravity.
 

Similar threads

  • · Replies 17 ·
Replies
17
Views
4K
  • · Replies 23 ·
Replies
23
Views
4K
  • · Replies 23 ·
Replies
23
Views
4K
  • · Replies 4 ·
Replies
4
Views
2K
  • · Replies 13 ·
Replies
13
Views
3K
  • · Replies 1 ·
Replies
1
Views
2K
  • · Replies 5 ·
Replies
5
Views
2K
  • · Replies 7 ·
Replies
7
Views
2K
  • · Replies 34 ·
2
Replies
34
Views
4K
  • · Replies 20 ·
Replies
20
Views
4K