Cosmological gravitational waves

Click For Summary

Discussion Overview

The discussion centers around deriving the form of the symmetric, trace-free, and transverse gravitational wave perturbation ##\hat{E}_{ij}## to the Friedmann-Robertson-Walker (FRW) metric. Participants are exploring the mathematical steps involved in calculating connection coefficients and addressing potential inconsistencies in their derivations.

Discussion Character

  • Technical explanation
  • Debate/contested
  • Mathematical reasoning

Main Points Raised

  • One participant presumes that ##h_{ij}## is the metric on spatial slices, defined as ##h_{ij} = \delta_{ij} + 2\hat{E}_{ij}##, but expresses uncertainty about this definition.
  • Another participant questions the notation ##\hat{E}_{ij}'##, suggesting it may denote ##\partial_0 \hat{E}_{ij}##, while acknowledging that this notation is unconventional.
  • Several participants identify potential errors in the derivation, specifically regarding the elimination of ##\delta_{ij}## terms in their equations.
  • One participant expresses confusion about the presence of ##a^2## factors in their equations, indicating a need for further review.
  • Another participant tentatively proposes that the change from ##g^{il}## to ##\delta^{il}## might relate to a series expansion for the inverse of a matrix, suggesting that the discussion involves approximations to first order in ##\hat{E}##.
  • Participants share links to external resources, including exercises and notes, to aid in understanding the problem at hand.

Areas of Agreement / Disagreement

Participants do not reach a consensus on the derivation steps, with multiple competing views and uncertainties remaining about the correct treatment of terms and notation.

Contextual Notes

There are unresolved questions regarding the definitions of terms used, the treatment of derivatives, and the implications of approximations made in the derivation process.

etotheipi
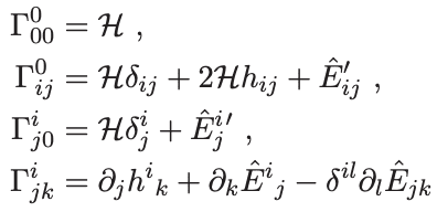
The exercise is to derive the form of the symmetric, trace-free and transverse gravitational wave perturbation ##\hat{E}_{ij}## to the FRW metric$$ds^2 = a^2(\tau) \left[ -d\tau^2 + (\delta_{ij} + 2\hat{E}_{ij})dx^i dx^j \right]$$First step is to figure out the connection coefficients, which are supposed to be:

1622196030721.png

I presumed ##h_{ij}## is metric on the spatial slices i.e. ##h_{ij} = \delta_{ij} + 2\hat{E}_{ij}##, but that doesn't seem consistent with the above from what I worked out below. I reckon the notation ##\hat{E}_{ij}'## is supposed to be ##\partial_0 \hat{E}_{ij}##, but that I'm not totally sure about either. I'd worked out:\begin{align*}
\Gamma^0_{00} &= \frac{1}{2}g^{0m} \left( 2\partial_0 g_{m0} - \partial_m g_{00} \right) \\
&= \frac{1}{2} g^{00} \partial_0 g_{00} \\
&= \frac{1}{2} \cdot \frac{-1}{a^2} \cdot -2a \dot{a} = \frac{\dot{a}}{a} = \mathcal{H}

\\ \\

\Gamma^0_{ij} &= \frac{1}{2} g^{0m} \left( \partial_j g_{mi} + \partial_i g_{mj} - \partial_m g_{ij} \right) \\

&= \frac{1}{2} g^{00} \left( - \partial_0 g_{ij} \right) \\

&= \frac{-1}{2a^2} \left( -\partial_0 \left[a^2\left\{ \delta_{ij} + 2\hat{E}_{ij} \right\} \right] \right) \\

&= \frac{1}{2a^2} \left( 2a\dot{a} \left[ \delta_{ij} + 2\hat{E}_{ij} \right] + 2a^2 \hat{E}_{ij}' \right) \\

&= \mathcal{H} \left[ \delta_{ij} + 2\hat{E}_{ij} \right] + \hat{E}_{ij}'

\\ \\

\Gamma^i_{j0} &= \frac{1}{2} g^{im} \left( \partial_0 g_{mj} + \partial_j g_{m0} - \partial_m g_{j0} \right) \\

&= \frac{1}{2} g^{ik} \left( \partial_0 g_{kj} \right) \\

&= \frac{1}{2} g^{ik} \left( \partial_0 \left[ a^2 \left\{ \delta_{kj} + 2\hat{E}_{kj} \right\} \right] \right) \\

&= \frac{1}{2} g^{ik} \left( 2a \dot{a} \left[ \delta_{kj} + 2\hat{E}_{kj}\right] + 2a^2\hat{E}_{kj}' \right) \\

&= a^2 \mathcal{H} \left[ \delta^i_j + 2\hat{E}^i_j \right] + a^2{\hat{E}^{i}_j}' \\\\ \\

\Gamma^i_{jk} &= \frac{1}{2} g^{im}(\partial_k g_{mj} + \partial_j g_{mk} - \partial_m g_{jk}) \\

&= \frac{1}{2}g^{il} \left(\partial_k \left[ a^2 \left\{ \delta_{lj} + 2\hat{E}_{lj} \right\} \right] + \partial_j \left[ a^2 \left\{ \delta_{lk} + 2\hat{E}_{lk} \right\} \right] - \partial_l \left[ a^2 \left\{ \delta_{jk} + 2\hat{E}_{jk} \right\} \right]\right) \\

&= a^2 g^{il} \left(\partial_k \hat{E}_{lj} + \partial_j \hat{E}_{lk} - \partial_l \hat{E}_{jk} \right) \\

&= a^2 \left(\partial_k \hat{E}^i_{j} + \partial_j \hat{E}^i_{k} - g^{il} \partial_l \hat{E}_{jk} \right)

\end{align*}I don't really know what I'm doing wrong?
 
Last edited by a moderator:
  • Like
Likes   Reactions: Delta2
Space news on Phys.org
etotheipi said:
The exercise
From where?
 
  • Haha
Likes   Reactions: etotheipi
I think I'm seeing a few places where the derivatives should have eliminated the ##\delta_{ij}## terms but did not (e.g., the second ##\delta_{ij}## terms in both the second and third equations).

As for ##h_{ij}##, I'm not sure. I'd recommend looking over this section in your textbook to see if the term is defined clearly, or just contacting your professor for the definition.
 
  • Like
Likes   Reactions: etotheipi
kimbyd said:
I think I'm seeing a few places where the derivatives should have eliminated the ##\delta_{ij}## terms but did not (e.g., the second ##\delta_{ij}## terms in both the second and third equations).
Oh golly, can't believe I missed that. I'll edit the post to correct them now and see if it's any closer. Thanks!
 
etotheipi said:
I presumed ##h_{ij}## is metric on the spatial slices i.e. ##h_{ij} = \delta_{ij} + 2\hat{E}_{ij}##
Since this is about gravitational waves, the common notation for GWs is that ##h_{ij}## is the metric perturbation, which in this case would be ##2 E_{ij}##.

etotheipi said:
I reckon the notation ##\hat{E}_{ij}'## is supposed to be ##\partial_0 \hat{E}_{ij}##
That seems to be the only possibility, but I agree it's weird notation. A prime is normally used to denote a derivative with respect to a spatial coordinate, not time. But perhaps putting the hat on ##\hat{E}_{ij}## meant that putting a dot on top as well would have been cumbersome.
 
  • Like
Likes   Reactions: etotheipi
Hm, I think I've now corrected the mistakes that @kimbyd pointed out, but it's still not quite there. In particular I'm not sure why the last two still have ##a^2##s. Maybe I need to look at this again tomorrow 😄
 
etotheipi said:
Hm, I think I've now corrected the mistakes that @kimbyd pointed out, but it's still not quite there. In particular I'm not sure why the last two still have ##a^2##s. Maybe I need to look at this again tomorrow 😄
I think for the very last term in the last equation, that might be from the metric (note that they have ##\delta^{il}## where you have ##g^{il}##), though I'm not understanding how they are making that substitution.

But that last equation confuses me in general. The asymmetry between the first two terms in the provided solution just seems wrong.
 
  • Like
Likes   Reactions: etotheipi
kimbyd said:
I think for the very last term in the last equation, that might be from the metric (note that they have ##\delta^{il}## where you have ##g^{il}##), though I'm not understanding how they are making that substitution.

But that last equation confuses me in general. The asymmetry between the first two terms in the provided solution just seems wrong.
Tentatively answering part of my own question:

The change from ##g^{il}## to ##\delta^{il}## may be down to using the series expansion for the inverse. It's not too hard to show that for a matrix ##A = I + B##, where ##I## is the identity and ##B## is small in the appropriate sense, ##A^{-1} = I - B + B^2 - B^3 + \dots##

They do mention that this is the answer to first order in ##\hat{E}##, after all.

But the first two terms in that last equation still confuse me. I don't see why they shouldn't be the same except with a couple of indices swapped. And I don't understand what's going on with the ##a^2##.
 
  • Like
Likes   Reactions: etotheipi
  • #10
kimbyd said:
The change from ##g^{il}## to ##\delta^{il}## may be down to using the series expansion for the inverse. It's not too hard to show that for a matrix ##A = I + B##, where ##I## is the identity and ##B## is small in the appropriate sense, ##A^{-1} = I - B + B^2 - B^3 + \dots##

They do mention that this is the answer to first order in ##\hat{E}##, after all.
That makes sense, I didn't really know how to interpret the remark about working to first order in the ##\hat{E}_{ij}##. Maybe there are some further approximations that can be made. I must say it's very confusing 😄

There's a set of notes here: https://www.damtp.cam.ac.uk/user/examples/3R2La.pdf
but they aren't too helpful. The closest thing I could find was section 3.4 on linearised equations at the bottom of page 37, but they leave those as an exercise too.
 

Similar threads

  • · Replies 71 ·
3
Replies
71
Views
4K
  • · Replies 2 ·
Replies
2
Views
1K
Replies
4
Views
2K
  • · Replies 1 ·
Replies
1
Views
2K
  • · Replies 1 ·
Replies
1
Views
1K
  • · Replies 8 ·
Replies
8
Views
4K
  • · Replies 0 ·
Replies
0
Views
3K
  • · Replies 1 ·
Replies
1
Views
3K
  • · Replies 19 ·
Replies
19
Views
2K
  • · Replies 0 ·
Replies
0
Views
2K