Critical distance value for attractive force

Click For Summary

Homework Help Overview

The discussion revolves around Problem 3.11 from Griffiths' Electrodynamics, which involves determining a critical distance value between a point charge and a conducting shell. Participants express uncertainty about the meaning of 'critical value' and how to approach the problem, particularly in relation to the setup described in Problem 3.10.

Discussion Character

  • Exploratory, Assumption checking, Problem interpretation

Approaches and Questions Raised

  • Participants discuss the significance of the critical value as the point where the force direction changes. There are inquiries about the setup involving charges inside and outside the conducting sphere, and whether the expressions for force using superposition are correct. Some participants also question the need to differentiate to find critical points.

Discussion Status

The discussion is ongoing, with participants exploring various interpretations of the problem and clarifying their understanding of the critical point. Some guidance has been provided regarding the expressions for force and the nature of the critical point, but no consensus has been reached on a specific method or solution.

Contextual Notes

There are indications of confusion regarding the distances of charges from the center of the sphere and the implications of the force being repulsive or attractive. Participants also mention the complexity of the resulting polynomial when attempting to solve for the critical point.

chaos333
Messages
11
Reaction score
1
Thread moved from the technical forums to the schoolwork forums
On Problem 3.11 for Griffiths' Electrodynamics, there is a question that asks for the critical value between a point charge and a conducting shell, but I don't quite know what they mean by 'critical value' in this context and how I'm supposed to approach this question, the rest of the problem is reasonable.
1720558106482.png
 
Physics news on Phys.org
The critical value would seem to be the point at which the force direction changes.
I think we will need to see Problem 3.10 to understand the set-up.

AM
 
Andrew Mason said:
The critical value would seem to be the point at which the force direction changes.
I think we will need to see Problem 3.10 to understand the set-up.

AM
The method it refers to is that in 3.10 you were supposed to set q'+q''=0, where q' and q'' lie inside the conductor and represent the charge of the conductor, so for this problem you essentially do q'+q''=q where q'' lies on the origin of the sphere, q' lies a distance 'a' (inside the sphere still) and a third charge q is outside the sphere a distance 'b'. It's a modification of this problem.
1720560422732.png

1720561446850.png
 
Last edited:
So in this problem, 3.11, the conducting sphere is a hollow conducting sphere that is not grounded containing charge q?

All charges will be on the surface so the sphere will have a surface charge distribution (for a given position of the point charge, q at a distance ##a## from the centre of the sphere) that gives all charges the same potential. Since ##\vec{F}=-\frac{dU}{dx}## you will need to find the point at which ##\frac{dF}{dx}=-\frac{d^2U}{dx^2}=0##

AM
 
Last edited:
Andrew Mason said:
So in this problem, 3.11, the conducting sphere is a hollow conducting sphere that is not grounded containing charge q?

All charges will be on the surface so the sphere will have a surface charge distribution (for a given position of the point charge, q at a distance ##a## from the centre of the sphere) that gives all charges the same potential. Since ##\vec{F}=-\frac{dU}{dx}## you will need to find the point at which ##\frac{dF}{dx}=-\frac{d^2U}{dx^2}=0##

AM
Does this seem like the correct expression for F using superposition?
1720573200818.png
 
chaos333 said:
The method it refers to is that in 3.10 you were supposed to set q'+q''=0, where q' and q'' lie inside the conductor and represent the charge of the conductor, so for this problem you essentially do q'+q''=q where q'' lies on the origin of the sphere,
Yes

chaos333 said:
q' lies a distance 'a' (inside the sphere still)
Did you mean to say q' lies a distance 'b' from the center of the sphere?

chaos333 said:
and a third charge q is outside the sphere a distance 'b'.
Did you mean q is a distance 'a' from the center of the sphere?

chaos333 said:
Does this seem like the correct expression for F using superposition?
View attachment 348079
Yes, except you left out the charge q in your expression for F.
 
TSny said:
Yes


Did you mean to say q' lies a distance 'b' from the center of the sphere?


Did you mean q is a distance 'a' from the center of the sphere?


Yes, except you left out the charge q in your expression for F.
Yeah my bad,
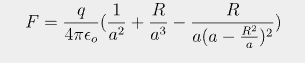
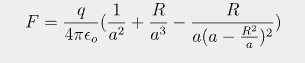
1720576226038.png
so I differentiate this and set it to 0? Pretend 'a' is a variable, maybe x, then I differentiate it like a variable right?
 
chaos333 said:
Yeah my bad, View attachment 348098
Still missing a factor of q. Otherwise, looks good.

chaos333 said:
so I differentiate this and set it to 0? Pretend 'a' is a variable, maybe x, then I differentiate it like a variable right?
No need to differentiate. You're not looking for a "critical point" in the sense of a maximum or minimum of ##F##. The critical point in this problem is the value of ##a## for which the force switches from repulsive to attractive. What is the value of ##F## at this critical point?
 
TSny said:
Still missing a factor of q. Otherwise, looks good.


No need to differentiate. You're not looking for a "critical point" in the sense of a maximum or minimum of ##F##. The critical point in this problem is the value of ##a## for which the force switches from repulsive to attractive. What is the value of ##F## at this critical point?
0, that makes sense... When I go to solve for it though I just get a nasty polynomial, should I brute force it or is there another approach?
 
  • #10
chaos333 said:
0, that makes sense... When I go to solve for it though I just get a nasty polynomial, should I brute force it or is there another approach?
Yes, it's messy. You might let ##x = a/R## or ##x = R/a##, whichever you prefer. As you're seeing, ##F = 0## yields a polynomial in ##x## for which you need to find the root(s). If you have access to a computer algebra system, you can check to see if the polynomial factors nicely. Or, you could plot the polynomial to get a good numerical approximation for the solution.
 
  • #11
TSny said:
Yes, it's messy. You might let ##x = a/R## or ##x = R/a##, whichever you prefer. As you're seeing, ##F = 0## yields a polynomial in ##x## for which you need to find the root(s). If you have access to a computer algebra system, you can check to see if the polynomial factors nicely. Or, you could plot the polynomial to get a good numerical approximation for the solution.
Sorry for getting to you late, but I got it, thanks for your help!
 
  • #12
chaos333 said:
Sorry for getting to you late, but I got it, thanks for your help!
You are welcome. Glad it worked out.
 

Similar threads

  • · Replies 6 ·
Replies
6
Views
2K
Replies
5
Views
1K
Replies
3
Views
3K
Replies
5
Views
3K
  • · Replies 4 ·
Replies
4
Views
3K
  • · Replies 6 ·
Replies
6
Views
3K
  • · Replies 4 ·
Replies
4
Views
5K
Replies
2
Views
2K
  • · Replies 3 ·
Replies
3
Views
3K
Replies
4
Views
2K