Cylindrical coordinates: unit vectors and time derivatives

Click For Summary

Homework Help Overview

The discussion revolves around the unit vectors in cylindrical coordinates and their time derivatives. Participants are exploring the relationships between these unit vectors and their expressions in rectangular coordinates.

Discussion Character

  • Conceptual clarification, Mathematical reasoning

Approaches and Questions Raised

  • One participant describes their attempts to derive the time derivatives of the unit vectors in cylindrical coordinates and expresses confusion about the simplification process. Another participant questions the correctness of the derivative provided by the original poster, suggesting a possible mistake.

Discussion Status

The discussion is active, with participants engaging in clarifying the relationships between the unit vectors and their derivatives. Some guidance has been offered regarding the expressions for the unit vectors, and there appears to be a productive exchange of insights.

Contextual Notes

There is an indication of potential misunderstandings regarding the derivatives of the unit vectors, and the original poster is seeking clarification on specific expressions. The conversation reflects a focus on ensuring accuracy in the mathematical relationships involved.

Mason Smith
Messages
21
Reaction score
2

Homework Statement


upload_2019-1-28_14-39-18.png


Homework Equations

The Attempt at a Solution


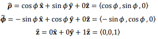
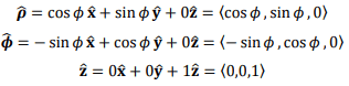
I have found expressions for the unit vectors for cylindrical coordinates in terms of unit vectors in rectangular coordinates.
upload_2019-1-28_14-40-20.png

I have also found the time derivatives of the unit vectors in cylindrical coordinates. However, I am having trouble seeing how it simplifies. For instance, I do not understand how to arrive at the following for the rho hat unit vector.
upload_2019-1-28_14-46-30.png

Can someone enlighten me, please?
 

Attachments

  • upload_2019-1-28_14-39-18.png
    upload_2019-1-28_14-39-18.png
    9.3 KB · Views: 893
  • upload_2019-1-28_14-40-20.png
    upload_2019-1-28_14-40-20.png
    3.7 KB · Views: 621
  • upload_2019-1-28_14-44-58.png
    upload_2019-1-28_14-44-58.png
    1.2 KB · Views: 329
  • upload_2019-1-28_14-46-30.png
    upload_2019-1-28_14-46-30.png
    1.2 KB · Views: 676
Physics news on Phys.org
You say you have the time derivatives of the unit vectors. But, if the derivative of ##\hat{\rho}## is not that given, then you must have made a mistake.
 
Mason Smith said:

Homework Statement


View attachment 237940

Homework Equations

The Attempt at a Solution


I have found expressions for the unit vectors for cylindrical coordinates in terms of unit vectors in rectangular coordinates.
View attachment 237941
I have also found the time derivatives of the unit vectors in cylindrical coordinates. However, I am having trouble seeing how it simplifies. For instance, I do not understand how to arrive at the following for the rho hat unit vector.
View attachment 237943
Can someone enlighten me, please?
You have $$\dot{\hat{\rho}}=(-\sin{\phi}\hat{x}+\cos{\phi}\hat{y})\dot{\phi}$$But you already showed that $$\hat{\phi}=(-\sin{\phi}\hat{x}+\cos{\phi}\hat{y})$$
Do you see how it works out now?
 
  • Like
Likes   Reactions: Mason Smith
Chestermiller said:
You have $$\dot{\hat{\rho}}=(-\sin{\phi}\hat{x}+\cos{\phi}\hat{y})\dot{\phi}$$But you already showed that $$\hat{\phi}=(-\sin{\phi}\hat{x}+\cos{\phi}\hat{y})$$
Do you see how it works out now?
That makes perfect sense. Thank you so much for the insight, Chestermiller! :smile:
 

Similar threads

Replies
5
Views
2K
Replies
26
Views
3K
Replies
13
Views
2K
  • · Replies 2 ·
Replies
2
Views
2K
  • · Replies 9 ·
Replies
9
Views
3K
  • · Replies 8 ·
Replies
8
Views
3K
  • · Replies 17 ·
Replies
17
Views
3K
  • · Replies 6 ·
Replies
6
Views
5K
  • · Replies 9 ·
Replies
9
Views
2K
  • · Replies 3 ·
Replies
3
Views
1K