D.E. Annihilator method question

  • Thread starter Thread starter Jeff12341234
  • Start date Start date
  • Tags Tags
    Method
Click For Summary

Homework Help Overview

The discussion revolves around the annihilator method in solving differential equations, specifically focusing on the complementary and particular solutions of a nonhomogeneous differential equation. Participants are examining the implications of certain terms disappearing from their solutions and the correct application of annihilators.

Discussion Character

  • Mixed

Approaches and Questions Raised

  • Participants are exploring the conditions under which certain terms in their solutions can be omitted and questioning the correctness of their initial assumptions about the roots and the structure of the particular solution. There is also an examination of the relationship between the roots of the characteristic equation and the terms in the solutions.

Discussion Status

Some participants are providing guidance on the correct form of the particular solution and the application of annihilators, while others are questioning their understanding of the initial steps and the implications of their findings. Multiple interpretations of the problem are being explored, particularly regarding the roots and their multiplicities.

Contextual Notes

There is a noted confusion regarding the application of annihilators and the resulting roots, as well as the distinction between the complementary and particular solutions. Participants are also addressing the constraints imposed by the original differential equation and the necessity for distinct bases for the complementary and particular solutions.

Jeff12341234
Messages
179
Reaction score
0
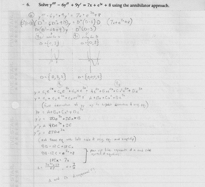
When I solve for A,B,C, and D, A and D disappear. Is that ok? Are the terms that contained A and D simply omitted from the solution equation or have I made some other mistake somewhere?

tYgFoG0.jpg
 
Physics news on Phys.org
Jeff12341234 said:
When I solve for A,B,C, and D, A and D disappear. Is that ok? Are the terms that contained A and D simply omitted from the solution equation or have I made some other mistake somewhere?

tYgFoG0.jpg
The complementary function, yc = c1 + c2e3x + c2xe3x. The particular solution can't have either of the last two functions, above. It has to have x2e3x in it. The particular solution also can't have a pure constant in it, as you have with Ae0x, which is really just A. It has to have x and x2.
 
So where did I go wrong?
Which specific line or step is incorrect and what should it be?
 
The first line that starts off "y = ..." You have too many terms in it. The particular solution should be yp = Ax + Bx2 + Cx2e3x.

What you need to do is to apply enough annihilators to get to a homogeneous equation. That would be D3(D - 3)3y = 0.

The roots of the char. equation are {0, 0, 0, 3, 3, 3}. These would correspond to 1, x, x2, e3x, xe3x, and x2e3x.

The characteristic equation for the homogeneous version of the original DE has roots {0, 3, 3}, corresponding to 1, e3x, and xe3x. The particular solution can't have any of these three functions. It will have the others that are listed in the paragraph above this one.
 
yc, when expanded out, has a highest power of 3 so it has 3 roots; {0, 3, 3}. Right?
yp is to the 4th power when expanded out so doesn't it have to have 4 roots? {0, 0, 0, 3}?
Is that logic correct so far?
 
Jeff12341234 said:
yc, when expanded out, has a highest power of 3 so it has 3 roots; {0, 3, 3}. Right?
yp is to the 4th power when expanded out so doesn't it have to have 4 roots? {0, 0, 0, 3}?
Is that logic correct so far?

No, because of a mistake you made early on. The right side of your original DE is 8 + 7x + e3x. The annihilator for it is D2(D - 3), not D2(D - 3)D = D3(D - 3) as you show. Note that D2(8 + 7x) = D(D(8 + 7x) = D(0 + 7) = 0. You have an extra factor of D.

The original equation, as a homogeneous DE is y''' - 6y'' + 9y' = 0, or (D3 - 6D2 + 9D)y = 0. This can be written as D(D - 3)2y = 0.

The rootso of the char. equation are r = 0, and r = 3 (multiplicity 2). These roots correspond to, as I've already said, the functions {1, e3x, xe3x}.

In converting the origininal nonhomogeneous equation of order 3 to a homogeneous equation of order 6, you're appending two factors of D and one factor of D - 3. There are a lot of repeated roots there: r = 0 is of multiplicity 3 and r = 3 is of multiplicity 3 as well. The set of solutions are {1, e3x, xe3x[/color], x, x2, x2e3x[/color]}.

The first three in the set above (in blue) are a basis for yc, which represents a basis for the solution of y''' - 6y'' + 9y' = 0. The second group of three (in green) are a basis for yp, a particular solution of the nonhomogenous equation y''' - 6y'' + 9y' = 8 + 7x + e3x. A function that is part of yc CANNOT ALSO BE IN yp, and that is what you are doing. You have 1 (= e0x) in both yc and yp and you have e3x in both, as well.
 
I understand what you're saying. I need to figure out why the initial mistake was made though. From what I understand:
7x = D^2
e^(3x) = (D-3)
8 = 8x^0 = D
When put together I get D^2*(D-3)*D. Which one of those is wrong?
 
Jeff12341234 said:
I understand what you're saying. I need to figure out why the initial mistake was made though. From what I understand:
7x = D^2
e^(3x) = (D-3)
8 = 8x^0 = D
When put together I get D^2*(D-3)*D. Which one of those is wrong?
You don't need (and shouldn't have) separate factors of D and D2. D2 annihilates A + Bx for any constants A and B.

D2(A + Bx) = D(D(Ax + B)) = D(A) = 0.
 

Similar threads

  • · Replies 12 ·
Replies
12
Views
2K
  • · Replies 2 ·
Replies
2
Views
1K
  • · Replies 14 ·
Replies
14
Views
3K
Replies
0
Views
1K
Replies
2
Views
2K
  • · Replies 2 ·
Replies
2
Views
2K
  • · Replies 15 ·
Replies
15
Views
3K
  • · Replies 2 ·
Replies
2
Views
1K
Replies
4
Views
2K
Replies
3
Views
2K