Density & Integration.... Help?

Click For Summary

Homework Help Overview

The problem involves calculating the total mass of sawdust in an inverted conical hole, given its dimensions and a density function that varies with depth. The subject area includes calculus and integration, particularly in the context of volume and mass calculations.

Discussion Character

  • Exploratory, Mathematical reasoning

Approaches and Questions Raised

  • Participants discuss how to set up the integral for calculating mass using the provided density function and the volume of the cone. There are attempts to express the radius as a function of depth and to clarify the limits of integration.

Discussion Status

The discussion includes attempts to formulate the integral correctly, with one participant expressing confusion about the setup. Another participant provides a relationship for the radius based on depth, and there is a note of resolution from one participant who claims to have figured out a necessary adjustment to the integral.

Contextual Notes

There is an indication of a potential misunderstanding regarding the integration limits and the relationship between the radius and height of the cone, which may affect the setup of the problem.

sunnnystrong
Messages
54
Reaction score
6

Homework Statement



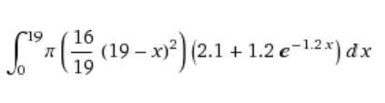
A hole in the ground in the shape of an inverted cone is 19 meters deep and has radius at the top of 16 meters. The cone is filled to the top with sawdust. The density of the sawdust depends upon the depth, x, following the formula ρ(x) = 2.1 + 1.2e^(-1.2x) kg/m^3. Find the total mass of sawdust in the conical hole.

Homework Equations



mass = density * volume

The Attempt at a Solution


[/B]
So I'm just confused as to how to set up my integral?

I want to find the def. ∫ density*volume from 0 to 9
 

Attachments

  • Capture.JPG
    Capture.JPG
    22.3 KB · Views: 830
Physics news on Phys.org
Using the relationship I posted above ^^^

radius of cone = 16m
height of cone = 19m
s = (16/19)(19-x)
So my integral would be...
 

Attachments

  • Capture.JPG
    Capture.JPG
    3.7 KB · Views: 873
Anyone? D:
 
*** Figured it out. all you had to do was square the constant (16/19) as well.
 

Similar threads

Replies
25
Views
3K
  • · Replies 19 ·
Replies
19
Views
7K
  • · Replies 10 ·
Replies
10
Views
4K
  • · Replies 4 ·
Replies
4
Views
3K
  • · Replies 4 ·
Replies
4
Views
2K
  • · Replies 6 ·
Replies
6
Views
4K
Replies
4
Views
2K
Replies
3
Views
2K
  • · Replies 2 ·
Replies
2
Views
3K
  • · Replies 1 ·
Replies
1
Views
2K